1 Departamento de Ingeniería del Terreno, Universidad Politécnica de Cataluña (UPC), Gran Capitán s/n, Ed. D-2, 08034, Barcelona, España.
cherrera@ucn.cl
2 Institut für Geowissenschaften, Ruprecht-Karls-Universität, Im Neuenheimer Feld 234, D-69120 Heidelberg, Germany.
emilio.custodio@upc.edu
The origin of waters from small springs located at the hyper-arid northern coast of Chile, in the vicinity of Antofagasta, is discussed after hydrogeochemical and isotopic studies and supported by groundwater flow hydrodynamic considerations. Spring water is brackish to saline, with electrical conductivity ranging from 2 to 25 mS/cm. Chemical and water isotope data (18O and 2H) show that the rainfall events that produced part of the recharge could correspond to wetter conditions than at present. Their origin could be related to the emplacement of warm sea currents facing the coast of northern Chile, possibly associated to incursions of El Niño Southern Oscillation (ENSO). Radiocarbon dating and preliminary groundwater hydraulic calculations indicate that these spring waters could be remnants of a more significant recharge in the Cordillera de la Costa than that produced today during the less arid period about 5,000 to 3,000 years ago. The exception is Las Vertientes spring which is the only one that receives water transferred from the Central Depression. The springs are the visible discharge of a regional groundwater body in the very low permeability Cordillera de la Costa, whose hydraulic conductivity decreases downward and flow is dominantly though fissures and storage in the low porosity rock matrix.
Keywords: Cordillera de la Costa, Antofagasta, Spring, Groundwater, Stable isotopes, Radiocarbon, Arid climate, Recharge.
1. Introduction
Along the coastline of northern Chile, in the Atacama Desert, an extensive mountain range called Cordillera de la Costa (coastal range) exists. It is one of the driest regions of the world, containing areas whose average annual precipitation in many cases is less than 1 mm, which means long periods of extreme aridity and occasional rainfall events widely separated in time. On the western slope of the Cordillera de la Costa some low discharge springs can be recognized. The numerous archaeological sites located in the vicinity of these springs show they are permanent ones (Núñez and Varela, 1968). The small flow is the result of current or past groundwater recharge despite the extreme aridity. The research carried out is to identify the conditions of such recharge.
Spring water is of the sodium-chloride type, being the sulfate the second anion in importance. Water composition has some similarity to seawater, which is due to atmospheric deposition being dominated by marine aerosol and the high salinity to intense concentration by evapotranspiration (evapoconcentration) of precipitation. Soluble salts deposited in the soil are dissolved and transferred to aquifer recharge when some of rare significant precipitations occur.
2. Location and climate
The Cordillera de la Costa corresponds to an extensive mountain range that stretches along the coastline of northern Chile. Its width is between 15 and 50 km and reaches an average altitude of 1,600 m (Fig. 1). In general, the altitude of the Cordillera de la Costa increases from north to south and reaches the highest elevations, approximately 2,800 m a.s.l. (above sea level), at the latitude of Paposo. In some parts, this mountain range rises abruptly from sea level, forming a cliff that can reach up to 1,000 m a.s.l. Its eastern boundary is smooth and slopes gently toward the Central Depression, although in some places topographic breaks separate these two geomorphological units, which could correspond to faults (Chong, 1991). The Central Depression extends to the Pre-cordillera (fore range) and the Altiplano (highlands of the Andes), with elevations above 4,000 m.
The six springs and the water well studied are located on the western slope of the Cordillera de la Costa (Fig. 1) and are far apart from each other. The physical characteristics of each one of these springs and the water well are presented in table 1, plus the rock types that dominate in the respective assumed recharge area. Permanent springs yield a few m3/day, except Las Vertientes spring, which yield two orders of magnitude more water. All of them are known since the old times.
The extreme dryness of the Cordillera de la Costa and the Central Depression owes its origin to permanent anticyclone conditions off the coast of northern Chile and the cold Humboldt ocean current (Klohn, 1972; Rutllant, 1985). On the other hand, the Andes range is an impressive mountain barrier preventing the arrival of moisture coming from the Atlantic Ocean through the Amazon Basin. Some of this moisture reaches the western slope of the Andes in the summer months, in the so-called ‘Invierno Altiplánico’ (highlands winter), but not the Central Depression.
The Cordillera de la Costa has an extremely arid climate. Average rainfall is between 0.5 and 8 mm/yr (Table 2), without any precipitation for 4 or 5 consecutive years and only some sporadic short storms. Temperatures at the coast are mild and stable most of the year due to the smoothing effect of the sea. Monthly mean values range between 13.5°C and 20.1°C in the city of Antofagasta (DGA, 1987).
Condensing fog in the winter months, known locally as Camanchaca, is a common fact. It consists on thin, small clouds trapped against the Cordillera de la Costa at the coastal side. Sometimes this fog produces local small drizzle and horizontal rain when droplets are intercepted by vegetation, especially when the system is altered by the spread towards the north of cold fronts coming from the south (Ogaz and Fuenzalida, 1981; Houston, 2006). In the most favorable areas for fog condensation, further south of the area here considered, the total distributed contribution does not exceed 10 mm/yr (Román, 1999). Isotopic studies of rainfall in the central-northern Chile indicate that this type of precipitation does not produce significant recharge increase to aquifers (Aravena et al., 1989; Squeo et al., 2006), but it favors the existence of vegetation. Similar situations are found in Perú (Jiménez et al., 2012) and in the Canary Islands, especially in Tenerife (Braojos, 2011; Santana, 1987). The wet air, when climbing above 500 m partially condense in the soil surface, allowing a limited development of some species of cacti and small shrubs in the highest parts of the Cordillera de la Costa (Ramírez, 1982). The greater penetration of the Camanchaca occurs in the breached coastal areas of the Loa River mouth and Quebrada La Negra (Ramírez, 1982). Hyper-arid conditions fully shows up in the Central Depression, where there is no influence of low fog and almost total absence of rainfall. The dryness and high thermal variability prevent the development of any kind of vegetation (Quade et al., 2007; Cereceda et al., 2008).
The study area extends between the mouth of the Loa River at the north and the town of Paposo in the south. In this area there are not ravines connecting hydrologically the coastline with the inner basins of the Central Depression (Fig. 1). Although La Negra basin (different from the La Negra Quebrada mentioned above) almost comes across the Cordillera de la Costa in a pass about 15-20 m high, their altitude is above current overflow threshold of the basin, so that upstream water contributions end in the Salar del Carmen endorheic area.
Up to now groundwater discharges from basins located east of the Cordillera de la Costa have not been identified, but as discussed below, Las Vertientes spring receives recharge generated at the Pre-cordillera. While the structural domain of the Cordillera de la Costa is defined by the mainly oriented north-south Atacama Fault system, there are other structures with north-west and north-east orientation associated with this fault system capable of producing discontinuities in the rock mass.
3. Geological setting
The geologic units of the Cordillera de la Costa are mainly andesitic volcanic rocks of the La Negra Formation (García, 1967) and intrusive rocks of Jurassic age (Fig. 1A). The lavas of the La Negra Formation form a monoclinal sequence that dip west and can reach up to 7,000 m thick (González and Niemeyer, 2005) and correspond to the vestiges of intense volcanic activity in an ancient magmatic arc (Boric et al., 1990; Quezada et al., 2010). They consist of andesitic lavas, andesite-basalts and basalt breccia with interbedded volcanic tuffs and sandstones (Boric et al., 1990). These rocks have a massive appearance and in many cases it is difficult to recognize the different lava flows. These units are cut by dikes of basaltic, andesitic and dacitic composition. These formations can be considered very low permeability rocks.
The intrusive rocks recognized in the Cordillera de la Costa are mainly gabbros, diorites, granodiorites and tonalities, and granites with a lesser extent. They are dominantly of Jurassic age, but also some intrusive Triassic and Cretaceous bodies exist. Contacts between the units correspond to intrusion boundaries and faults. In some cases the intrusive bodies of the Middle-Upper Jurassic include vein deposits of copper, gold and silver (Boric et al., 1990).
The main structural system that controls the Cordillera de la Costa corresponds to the Atacama System Fault, about north-south oriented, and the associated faults. The movement of this fault system was mainly vertical during the Cenozoic (Armijo and Thiele, 1990; Scheuber and Andriessen, 1990; Riquelme et al., 2003).
On the western slope of the Cordillera de la Costa, large alluvial fans descend from the east toward the coast. They could have some potential hydrogeological interest. The alluvial deposits of these fans are interbedded with eolian deposits and in many cases they are completely covered by eolian silica sands. In the Cordillera de la Costa some small inner basins are also found, which can hold small aquifers, but the hydrogeological explorations made in some of them have not yielded good results. Only a small basin located north of the Antofagasta city in the past was exploited for water supply of Mine Ivan, but it was abandoned due to the small yield and poor water quality.
4. Climatic history during the late Pleistocene-Holocene in the Antofagasta Region
Several sedimentological, archaeological and limnological studies made in the Atacama Desert provide a background on past climate during the late Pleistocene-Holocene. Also the paleoclimate research conducted in the Antofagasta Region shows differences between the Altiplano and the coastal and Pre-Andean areas during the Pleistocene-Holocene.
Most of these studies show that during the Last Glacial Maximum (16,000 yr B.P.) arid conditions dominated in the Altiplano (Geych et al., 1999; Latorre et al., 2002; Núñez et al., 2002), with a rainier period when it ended, between 14,000 and 9,000 yr B.P. Indeed, radiocarbon dating indicates that most lakes of the Altiplano began to expand in the period about 14,000-12,000 yr B.P., reaching its highest levels between 10,800-9,200 yr B.P. (Geych et al., 1999; Grosjean et al., 2001; Rech et al., 2002; Maldonado and Rozas, 2008). The maximum extent of the lakes was attained 9,200 yr B.P. and then a water level decline began until many of them disappeared or its surface was significantly reduced about 8,400-8,000 yr B.P. (Geych et al., 1999). The sedimentological records and paleohydrological studies conducted in Lejia lake, in the Western Cordillera, show that in the time of its maximum extension the water level was 25 m above current level and rainfall was around 500 mm/yr, higher than the current 200 mm/yr (Núñez and Grosjean, 1994). The lowest rainfall in the Altiplano at the end of the early Holocene coincides with a significant reduction of the Altiplano lakes extent (Núñez et al., 1997, 2002; Grosjean et al., 2001; Tapia et al., 2003). This decreased rainfall affected the most sensitive ecological systems, such as wetlands, and had a significant impact on the development of indigenous populations, which remained only in those areas where water sources had some stability, as at Puripica and Loa rivers (Lynch and Stevenson, 1992; Grosjean et al., 1997).
Data on the paleoclimatic history of the coastal and Pre-Andean zones in the Region of Antofagasta are scarce. Paleohydrological studies correspond to the study of paleo-wetlands (Rech et al., 2002). Two periods of increased groundwater discharge are identified: a first period from 12,800 and 8,100 yr B.P., recorded only in the eastern part of the Salar de Atacama (in Tilomonte), and a second period of increased activity from 7,400 and 3,000 yr B.P. recorded in the Tilomonte area, Loa river, Salado River, and Quebrada Puripica. Deposits between the two periods are not preserved. The mentioned study also shows that groundwater levels declined significantly between 3,000 and 800 yr B.P.
On the coastal edge of the Antofagasta Region, the more accurate information about rainfall during the Pleistocene-Holocene corresponds to stratigraphic and chrono-stratigraphic studies conducted in alluvial fans. From radiocarbon dating of seashells located at the base of a sequence of debris-flows above eolian deposits show that the end of the great drought occurred about 5,450 yr B.P. (Vargas et al., 2006). The correlation of the eolian deposits located at the base of these alluvial deposits with eolian deposits found in the archaeological site Chimba-13, in Quebrada Las Conchas, Cordillera de la Costa, limits the period of drought between 10,280 and 5,453 yr B.P. 10Be ages of the skin of quartz clasts exposed on the surface of alluvial fans hung by faults in the northern part of the Mejillones Peninsula show that the last time water flowed in these alluvial fans occurred approximately 14,000 yr B.P. (Cortés et al., 2012). Therefore, the period of great drought in coastal northern Chile probably spread between 14,000 and 5,400 yr B.P., followed by a semi-arid period, and again by hyper-arid conditions lasting until present.
The start of the period of drought in the Altiplano does not match the period in which the archaeological site Chimba-13 (near the Chimba spring) was abandoned by their inhabitants, about 9,150 years ago, but it is quite close to the beginning of water level decline in the Altiplano lakes 9,200 years ago (Geych et al., 1999). Radiocarbon dating indicates that settlement in this place occurred between 10,280 and 9,150 yr B.P. (Llagostera et al., 1997).
5. Sampling and analytical methodology
The springs of the coastal edge of Antofagasta Region have been sampled directly from the fractures through which water outflows. Water temperature, pH, electrical conductivity, and other chemical determinations were determined in the field. Two field campaigns were conducted, in June 2005 and July 2006 respectively. In the first campaign only complete chemical analyses were performed. After looking at the first results, in the second sampling only selected springs were considered for complete chemical and isotopic (18O, 2H, and 3H in water, 13C and 14C in the DIC (dissolved inorganic carbon, and 34S and 18O in dissolved sulfate) analysis. Three water samples from springs at the headwaters of the La Negra basin, in the Pre-Andean area of the Antofagasta Region were also analyzed to compare the results.
Water samples for chemical analysis were filtered (0.45 mm) in the field at the time of sampling and stored in 1,000 mL double stopper polyethylene bottles, without air bubbles and protected from light. The anions were determined by absorption spectrophotometry (Cl, SO4, NO3) and titration (HCO3), and cations by atomic absorption and plasma emission spectrometry; SiO2 content were determined by molecular absorption photometry. The ion balance of most samples is less than 5%.
All chemical determinations were made at the Water and Riles Area Analysis of the DICTUC. The 18O and 2H analyses were performed at the Environmental Isotope Laboratory of the Chilean Nuclear Energy Commission (CCHEN), the 34S and 18O of dissolved sulfate in the laboratories of the Scientific-Technical Services of the University of Barcelona, and the tritium in the laboratories of the CEDEX in Madrid. In all cases standard techniques and common procedures were used. Due to the large amount of dissolved sulfate and the low dissolved inorganic carbon concentrations in water, the 14C (and also the 13C) content was determined by accelerator mass spectrometry (AMS) in the Beta Analytic laboratories in the United States. Isotopic ratios are reported referred to the usual standards, V-SMOW for δ2H and δ18O, V-PDB for δ13C, and CDT for δ34S.
6. Results
6.1. Spring water hydrogeochemistry
The major chemical components and some ion ratios from the analyses of waters from the July 2006 field campaign have been used for the hydrogeochemical characterization of the coastal springs to identify the origin of the salinity.
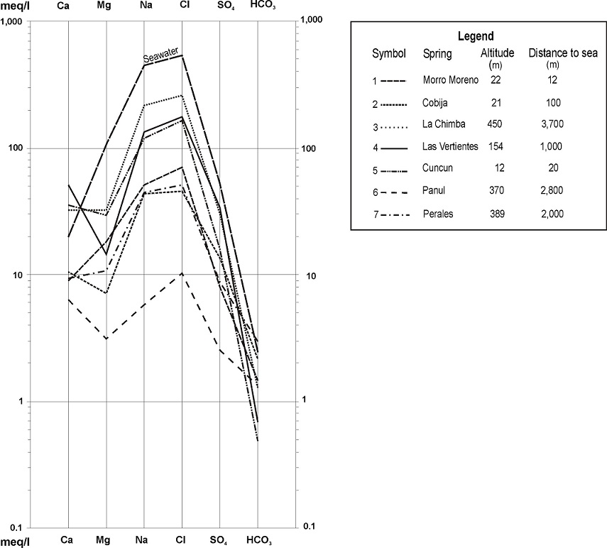
The waters of the coastal springs are brackish to saline, with electrical conductivity values between 2 and 25 mS/cm and temperatures between 18 and 23°C (Table 3). The chemical composition corresponds to the sodium chloride type, being sulfate the second anion, and mimics seawater. This is attributable to dry and wet atmospheric deposition dominated by marine aerosol. The precipitation, which besides dissolve salts in the top soil from previous dry deposition and evaporated precipitation, suffers intense evapoconcentration. Thus, when some recharge is produced it is highly saline. Similar conditions, although under not so extreme arid conditions, are found in the eastern Islands and southern coastal areas of The Canaries (Custodio 1990, 1992; Herrera and Custodio, 2002, 2004). As there is no long-term accumulation of soluble salts in the Cordillera de la Costa topsoil, except for some calcium carbonate and perhaps some gypsum in some cases, dry and wet deposition contributed salts are dissolved and passed to the aquifer when occasional significant precipitation events produce some recharge (Fig. 2). The Camanchaca could play a role in the mobilization of marine aerosol from the air because it can incorporate large suspended particles, thus allowing their penetration inland (Berger and Cooke, 1997). As the Camanchaca is generally produced between 300 and 1,000 m a.s.l., it is expected than most marine salt deposition occurs at these altitudes (Cereceda et al., 2008). Near the coastline and below 800 m, gypsum is found in the material cementing the sediments of old alluvial deposits and occasional 2 to 5 mm isolated gypsum crystals (Rech et al., 2003). Calcium carbonate has often been recognized cementing alluvial ancient deposits, usually below 900 m (Quade et al., 2007).
FIG. 2. Vertical scale chemical diagram (Schoeller-Barkaloff diagram) showing relative proportions of major ions in water from sprigs in the Cordillera de la Costa and in seawater. |
The Panul spring, in Paposo area, escapes from the general trend of high salinity coastal springs, as it has a lower mineralization, albeit it shows similar ionic ratios. At this spring location local orographic precipitation is produced, resulting in a less dry environment.
In order to assess the origin of the dissolved ions in spring waters, the theoretical contribution of seawater calculated from the chloride content, assuming that all chloride is of marine origin, is subtracted from the actual chemical composition of spring water. This difference is given as D in table 4. The most important results are:
- Almost systematic Na+K deficit, except for the Cobija well water, with an equivalent excess of Ca+Mg, especially of Ca (it shows up because Ca concentrations are lower). This can be attributed to the chemical alteration of atmospheric dust and rock by precipitation water, with possible neoformation of clay minerals in arid environment, preferably illite, which retains part of the cations. Excess Ca increases with greater salinity.
- Mg deficit only in La Chimba and Las Vertientes springs. Since these springs are the only ones with water flowing through andesitic lavas, the deficit could be explained as a result of weathering of ferro-magnesian minerals in the matrix of these rocks.
- Moderate SO4 excess, explainable by the incorporation of airborne natural volatile sulfur compounds. The effect is larger the lower the marine contribution is. The significant SO4 excess in Las Vertientes spring could due to the dissolution of gypsum in the Central Depression.
- Low to moderate HCO3 content, which is controlled by the partial pressure of CO2 in the soil, the possible contribution of wind-transported biogenic carbonate particles from the coast (the area has eolian deposits and prevailing winds from the coast), and rock-water reactions.
- Relatively high NO3 concentration despite the absence of significant human activities. This is common in arid areas and it is due to mineralization of atmospheric input of nitrogen compounds when soil activity is low or nil, and high evapoconcentration. Transport of nitrate-laden inland dust from the Central Depression, where the largest nitrate deposits of the world exist, is also possible. Spring waters have relatively low concentrations of SiO2, between 15 and 23 mg/L, indicating scarce to moderate water interaction with the dominating rock silicate minerals due to low water aggressiveness due to the low CO2 partial pressure in the soil, besides the weathering characteristics of existing rocks.
Accurate determinations of bromide and chloride were made to ensure the precision of the rCl/rBr ratio. Results in table 3 show a small rCl/rBr dispersion and values that in most cases are higher than 655, the value of seawater (Custodio and Herrera, 2000; Alcalá, 2005; Alcalá and Custodio, 2012). This can be explained by the possible incorporation of almost Br-free halite formed in the coastal marine environment by partial evaporation of sea water droplets produced and transported by the wind, but this is it poorly known and documented phenomenon. The contribution of halite particles carried by the wind from inland salt lakes is also possible, although unlikely. The largest value of the rCl/rBr ratio corresponds to Las Vertientes spring, which clearly escapes the general trend of the other coastal springs and in this case points to some possible halite dissolution in the Central Depression.
Apart of the Las Vertientes spring, the more saline waters are from La Chimba and Cuncun springs. Since the rCl/rBr value of the does not reveal dissolution of evaporate salts, the high salinity of the La Chimba spring can be explained by a greater effect of climatic aridity and for Cuncun spring by a higher deposition of marine aerosol because of its closeness to the coastline.
Las Vertientes spring is also characterized by high nitrate concentrations (220 mg/L), significantly higher than in the other springs. This can be explained by nitrate-rich evaporite salts in La Negra basin (Pueyo et al., 1998). In general, groundwater of the Central Depression is characterized by a high natural content in NO3. Up to 15 g/L of NO3 have been found in groundwater in the Salar de Pintados (Risacher et al., 1999), in Pampa del Tamarugal, north of the study area. Thus, high salinity, high rCl/rBr, and high nitrate content in Las Vertientes spring shows that its water is affected by evaporite salts dissolution and therefore it can be considered that at least part of the water of this spring comes from groundwater in the Central Depression.
Mineral saturation indices have been calculated using the computer code PHREEQC (Pankhurst, 1995). Most of the waters are undersaturated with respect to gypsum (except for Las Vertientes spring, which is close to saturation), supersaturated with respect to dolomite, and approximately in equilibrium with respect to calcite (Table 5), which possibly has limited the Ca content by calcite precipitation, as has being commented before. All water samples are undersaturated with respect amorphous silica. Calculated partial CO2 pressures (PCO2) vary between 10-2.6 and 10-4.0, which are low and in some cases very close to that in the atmosphere (PCO2=10-3.4, currently). The small PCO2 in the soil gas, even taking into account the possible decrease by rock-water reaction in a closed system, suggests low soil CO2 of organic origin as a result of the sparse vegetation present in the Cordillera de la Costa, so that a significant part of the CO2 can be of atmospheric origin.
6.2. 34S and 18O of dissolved sulfate in spring water
The isotopic results for dissolved sulfate are depicted in figure 3. Current seawater δ34S is 21‰ CDT (Claypool et al., 1980; Fritz and Fontes, 1986) and 20‰ in sulfate precipitated from it. δ34S in spring water vary between 7.7 and 18.1‰ CDT (Table 6). The greater the chloride content the more the δ34S values tend to that of seawater, pointing to the marine origin of sulfate (Fig. 3A). The lower δ34S values correspond to Panul and Las Vertientes springs, with respective values of 7.7 and 8.4‰. The light contribution can be explained by the addition of isotopically light (δ34S between 7 and 16‰) gaseous atmospheric S, which is relatively more important the lower the salinity is The δ34S in the spring waters are very close to the values measured by Rech et al. (2003) in sulfate-containing soils in the Cordillera de la Costa, +16.6‰ to +18.3‰, whose origin is attributed to atmospheric aerosol deposition on the ground. The alignement of points in figure 3A, except for Las Vertientes spring, is apparent since the Cl scale is logarithmic, but points to a non-marine S contribution of about 7 to 8%. Also dissolved sulfate δ34S becomes heavier with increasing sulfate concentration (Fig. 3B), except for Las Vertientes spring, and point to the same non-marine value of δ34S. The increase in sulfate content is due to higher marine sulfate contribution. The relatively δ34S light value of Las Vertientes spring agrees with that of soil sulfate in inland basins, between 5 and 8‰ and whose origin is attributed to atmospheric dust inputs that have accumulated for millennia in the desert (Rech et al., 2003; Michalski et al., 2004; Ewing et al., 2006, 2008). The low δ34S value of Panul spring (+7.7‰) approaches the non-marine atmospheric value and shows a small marine influence. Sulfate reduction is neither expected nor shown due to the oxidizing environment.
FIG. 3. Sulfate and dissolved sulfate isotopes in waters from springs in the Cordillera de la Costa. A. δ34SSO4 versus Cl; B. δ34SSO4 versus SO4; and C. δ34SSO4 versus δ18OSO4. |
The δ18O of sulfate dissolved in modern ocean water is around 9.6‰ (Clark and Fritz, 1997). In spring waters it varies between 7.8‰ and 12.1‰. Samples with high δ18OSO4 generally have small dissolved sulfate contents and tend to the value of δ18OSO4 of seawater when sulfate increases. Although it is difficult to establish confidently the origin of the more enriched values of δ18OSO4, they are close to what is expected for the non-marine S in the atmosphere.
Comparing the values of δ34S and δ18O of dissolved sulfate (Fig. 3c), despite the large scatter it is observed that there is a mixture of two end members, one atmospheric non-marine sulfate of poorly defined low δ34S values and high δ18O values, with marine sulfate. Las Vertientes spring has a δ34S isotopic composition typical of the sedimentary gypsum observed in Pre-Andean basins. Many isotopic determinations done in continental sedimentary formations of the Salar de Atacama basin have sulfate that vary from 6‰ to 9‰ for δ34S, and 13‰ to 18‰ for δ18O (Carmona et al., 2000; Cortecci et al., 2005). In Panul spring a greater non-marine atmospheric effect associated with its location in an area less influenced by the Camanchaca is possible.
6.3. Stable isotopes of water
Due to the scarce rainfall recorded in the northern coast of Chile and the small amount of rain produced in each event, it is very difficult to characterize the stable isotopic composition of precipitation and define a local meteoric line. Figure 4 shows δ18O and δ2H data from coastal springs, the world mean meteoric water line (δ2H=8δ18O+10‰), and three water samples from the Pre-cordillera of the Antofagasta Region, corresponding to Alto de Varas, Chépica and Escondida springs, the first two located at the headwaters of the La Negra basin (Fig. 1), as well as springs of Salar de Atacama and Chungará lake area (north of the study area). In the area of Collacagua-Salar de Huasco-Pica at the latitude of Iquique (Region I of Tarapacá, to the north of Antofagasta), average δ18O and δ2H values in the Altiplano are -15‰ and -110‰, respectively, similar to those of the Chungará lake, and in the intermediate area of Pampa del Tamarugal from -7‰ to -55‰ (Acosta et al., 2013), similar to those of Salar de Atacama.
FIG. 4. δ18O y δ2H of springs from Cordillera de la Costa and from the Pre-cordillera, Salar de Atacama and Chungará lake. WMML= world mean meteoric water line: δ2H=8δ18O+10‰. |
Table 6 shows the stable isotope data of spring waters. They range from +0.2‰ to -2.2‰ for δ18O and +3.3‰ to -33‰ for δ2H, while the isotopic composition of the waters of the Pre-cordillera are isotopically lighter, ranging from -3.1‰ to -4.2‰ for δ18O and about -34‰ for δ2H.
As shown in figure 4, the water of the Las Ver-tientes spring is isotopically lighter than the other coastal springs, despite a remarkable evaporation effect (deuterium excess of -15.6‰). Considering an evaporation line slope of 4 to 5 in a plot of δ2H versus δ18O, Las Vertientes spring extrapolates to a possible initial water that resembles the isotopic composition of spring waters sampled in the Pre-cordillera, specifically in the headwaters of La Negra basin, in the Central Depression, whose western boundary is close to a local coastal gully where Las Vertientes spring is located (Fig. 1). Therefore it is assumed that the water of Las Vertientes spring may correspond to groundwater recharge in the headwaters of the La Negra basin. Not so the waters of the other coastal springs whose waters correspond to recharge produced at the Cordillera de la Costa.
The more lighter isotopic composition of spring from headwaters of La Negra basin (Alto de Varas, Chépica and Escondida springs) may have been originated from a mixture of air masses coming from Amazon Basin and vapor produced in the Pacific Ocean. However a major contribution of vapor from the Pacific Ocean cannot be ruled out because the isotopic composition of these springs is very close to that of precipitation in the city of La Serena, albeit this last hypothesis is unlikely because of the barrier effect of the Cordillera de la Costa, which would prevent the entry of air masses coming from the coast.
Coastal spring waters are isotopically heavier, generally plot close to the seawater point, and differ significantly from the isotopic composition of the lighter rainfall recorded in the Cordillera and Pre-cordillera of northern Chile. These coastal springs are isotopically similar to precipitation in oceanic islands, with δ18O and δ2H values close to that of ocean water (Dansgaard, 1964). In fact, considering the isotopic data from the springs as values close to the value of the precipitation originating the recharge, the line joining these points has a slope close to 6, which is characteristic of heavy rainfall in oceanic islands (Plata, 1994; Clark and Fritz, 1997; Herrera and Custodio, 2008). Thus, it is possible to consider that, like in oceanic islands, the precipitation that recharged these aquifers were from coastal storms fed by quickly produced vapor in marine environment. This phenomenon has been described to explain the isotopic composition of precipitation and groundwater in coastal areas in Portugal and North Africa (Plata, 1994). Three of the springs show no significant evaporation during recharge, but Cuncun and La Chimba springs, with high salinity, show evaporation from an original value of about -2‰ for δ18O, similar to that of Perales spring. The evaporation effect can be related to the presence of some soil while this evaporation effect does not show up when recharge is produced through cracks.
To assess the origin of the water vapor which caused the precipitation that recharged the coastal aquifers, the isotopic composition of coastal springs waters is compared with the isotopic composition of rainfall in other locations in the western edge of South America, as shown in figure 5, using data from the IAEA monitoring stations in the towns of La Cuca and Esmeraldas (Ecuador) and La Serena and Valparaíso (Chile). No isotopic data from the coast of Perú is included because the monitoring stations in this country are inland and in the highland. The δ18O and δ2H of precipitation in latitudes close to coastal Ecuador are more enriched than the isotopic composition of precipitation in higher latitudes, as in La Serena and Valparaíso, according to the isotopic patterns of δ18O and δ2H of global rainfall (Dansgaard, 1964; Custodio and Llamas, 1983; Clark and Fritz, 1997).
To assess the magnitude of the precipitation that probably recharged the coastal springs in northern Chile, a plot comparing the values of the average monthly precipitation of rain on the coast of Ecuador with the values of δ18O in Esmeraldas station has been made. No rainfall records are available for Cuca station. The most enriched rainfall (δ18O between 0 and -2‰) corresponds to monthly accumulated rainfall values less than 10 mm (Fig. 6). The highest rainfall recorded in Esmeraldas Station have the lightest δ18O isotopic values and correspond to the rainfall occurring in the January, February and March, when the moist air masses from the Amazon attain the western part of South America at that latitude.
6.4. Tritium in spring water
Tritium is the radioactive isotope of hydrogen (3H) that decays to 3He by beta particle emission with a half-life of 12.43 years. The tritium produced in the atmosphere, either natural or artificial, becomes part of the water molecules and joins the hydrological cycle, where it behaves as a nearly ideal tracer. Thermonuclear explosions, mainly conducted in the early 1960s, injected into the atmosphere large amounts of tritium, to greatly exceeded natural concentrations. This generated conspicuous worldwide tritium increases in precipitation. In 1963-1964 tritium concentration peaked at 8,000 TU (tritium units=10-18 3H/1H) in Ottawa (Canada). The effect was less marked in South America, with a maximum of 290 TU in Río de Janeiro (Herrera et al., 2006). Since then, a worldwide steady decline has been produced and today rainfall is close to natural background.
For the current low tritium concentrations in natural water at least a 500 mL sample is needed for analysis. Due to the low amount of precipitation in the study area it was only possible to get one rain sample of in 2006 to determine tritium content. A concentration of 1.03±0.32 TU was obtained in Antofagasta, consistent with what is currently expected at a maritime station.
Most spring samples have tritium concentrations below the laboratory measurement threshold, about 0.2 TU (Table 6). Thus, it can be assumed that most recharge was produced before year 1960, with the exception of Panul spring (0.88±0.2 TU, a significant fraction of meteoric tritium) and perhaps La Chimba spring (0.27±0.2 TU). It is likely that the sample obtained in Panul spring reflects the discharge of an area receiving small localized orographic precipitation events; in fact it is a fluctuating spring with increased discharge after local important rainfall periods and this may explain the significant fraction of recent recharge. In La Chimba spring a small contribution to recharge could be produced in the last 50 years. Since this spring is located in a canyon, it is probable that after large rainfall events runoff water could infiltrate in the vicinity of the spring and thus provide some tritium, albeit it is difficult to establish a consistent conceptual model of the spring due to the poor knowledge of the aquifer.
6.5. 13C of dissolved inorganic carbon in spring water
The 13C values of local coastal vegetation have been determined by Quade et al. (2007) from 24 species of cactus in the vicinity of the town of Paposo. Most of them have an isotopic composition according to the Calvin photosynthetic path (C3) and also of Crassulacean acid metabolism (CAM), and they also recognized vegetation of type Hatch-Slack (C4) in lower proportion.
At the pH of spring water, the DIC (dissolved inorganic carbon) is dominated by HCO3 and consequently the equilibrium fractionation with respect to CO2 in soil gas is close to 9‰ at ambient soil temperature. Figure 7a shows δ13C versus pH.
FIG. 7. Plot of A. δ13CDIC versus pH and B. δ13CDIC versus PCO2 (atm). |
Las Vertientes and La Chimba springs have very light 13C values that correspond to soil CO2 derived from C3 to vegetation, non-fractionated with respect to soil gas CO2 (system closed to CO2). This requires close-to-saturated soil in the recharge area, which does not occur in the current conditions, but that could happen in the past in wetlands or in easily water-logged soils. The light value can also be explained by very light 13C contribution from methane oxidation in ancient wetlands, but this is unlikely.
The other three springs show δ13C values in isotopic equilibrium with soil gas derived from C3 vegetation, or recharge produced in a closed system receiving CO2 from CAM or C4 plants, which is unlikely. The high pH values agree with water evaporation and carbonate precipitation under arid conditions. The δ13C content could reflect the incorporation of soil carbon of biogenic origin, despite the very low current vegetation, but not necessarily so in the past, and perhaps the dissolution of recent marine biogenic carbonate particles from the littoral area supplied by the wind, but this last is unlikely significant as shown by water chemistry. Plotting the value of PCO2 versus δ13CDIC (Fig. 7b) a group of points close to the partial pressure of CO2 in the atmosphere are found, which correspond to the heaviest values of δ13C. This could point to a moderate influence of atmospheric CO2, whose δ13C is near -8‰. This is acceptable since an important part of the Cordillera de la Costa has no permanent vegetation. A second group of samples has lighter values of δ13C and the highest values of PCO2 that indicate greater biological activity at the time when recharge was produced.
In the geological environment where water samples were obtained there are not recognized carbonate rocks that may have interacted with groundwater during its flow, but the presence of calcite possibly associated with ancient hydrothermal phenomena in the filling of the fissures of volcanic and intrusive rocks cannot be ruled out. In fact, in the southern part of the study area many copper veins containing quartz, actinolite, magnetite, tourmaline, and calcite are emplaced in diorite and granodiorite intrusive rocks of Jurassic age (Boric et al., 1990). Thus, water interaction with the calcite cannot be plainly discarded and therefore some effect on δ13C contents. However, the geological knowledge of the areas where the springs are located and the hydrogeochemical interpretation of spring water of the low aggressiveness due to the scarce vegetation in the area rule out a significant incorporation of carbon of lithological origin or isotopic exchange with it.
6.6. 14C of dissolved inorganic carbon in spring water
Five determinations of activity of 14C of dissolved inorganic carbon (DIC) in spring water have been done to try to determine the groundwater residence time. The apparent ages must be analyzed in the context corresponding to groundwater flow through fractures in volcanic and intrusive rocks of low permeability with possible large water storage in the matrix, with diffusive exchange of carbon species between them. Furthermore recharge feeding the springs occurs over a large area and thus springs are supplied by a wide range of path-lines implying very different transit times. Therefore, it can be expected that the water discharged by the springs corresponds to a mixture of waters of very different ages. So it is more appropriate to speak of water residence time in the system.
The 14C concentrations vary between 55 and 75 pmC (Table 6). They are relatively high and considering the very different local circumstances they are little scattered. The apparent ages of spring water vary between about 5,000 and 2,500 years (Table 7). The flow model explaining them is discussed below.
As explained before 13C shows that most of the CID comes from the dissolution of biogenic and atmospheric CO2. Thus, the classical correction models of apparent ages that consider mineral C input from carbonate formations do not apply in this case. Unfortunately carbon isotope values for Panul spring are not available. Their relatively large fraction of recent water would be a reference value for 14C activity. For the Chimba spring, with some influence of recent recharge, the value of 14A=65 pmC (14A=activity of 14C) and a light δ13C lighter value (-21.1‰) allows to assume that the average apparent age of 14C is relatively high.
The 13CDIC versus 14CDIC plot (Fig. 8) show that the water samples are not binary mixtures of two end members of biogenic and dead mineral carbon, so the apparent radiogenic ages would likely be water ages in the case of a piston flow system. However, in the actual situation of recharge all over the surface, the groundwater flow system is dominantly of good mixing (exponential model) and what is called age is a function of mean residence time, as discussed below.
FIG. 8. 14C activity (pmC) versus δ13C data of the Cordillera de la Costa water samples. Some possibilities for water binary mixtures end-members are indicated. |
7. Discussion
7.1. Permeability characteristics of the Cordillera de la Costa formations
It is expected that volcanic and intrusive rocks of the Cordillera de la Costa behave in practice as almost impermeable formations, with macroscopic hydraulic conductivity (k) lower than 10-6 m/day, except near the surface, where saturated k could be about 0.01 m/day but decreasing downwards. However, some major faults and fractures across the Cordillera de la Costa may locally increase permeability but only to some limited extent since they are not expected to be open and often contain alteration minerals. Top volcanic rocks may be more permeable and thick, but with conditions similar to those described above. Saturated k may exceed 0.001 m/day, perhaps up to 0.1 m/day in the top. Under current conditions much of the more permeable rock is in the unsaturated zone, except under favorable circumstances for high water-table elevation, as near the coast. The hydraulic transmissivity (T) of the saturated zone rarely would exceed 0.1 m2/day regionally, and possibly may be at least one order of magnitude lower, according to the results obtained for the Miocene shield basalts in the Canary Islands (Custodio, 1985, 1989, 2007). This enables, even with very small average distributed recharge, the existence of a groundwater body that, when close to the surface, may sustain small discharges in springs, in addition to invisible diffuse discharges because of evaporation or due to outflowing along the coast.
7.2. Possible groundwater contribution from inland areas
The physiographic and climatic context of springs’ location is essential for the interpretation of spring water origin. In this vast area under present and past hyper-arid climate, especially in the Central Depression, along more than 1,000 km of coastline, the recharge should be very small and limited to sporadic rare wet events, which according to what has been explained in section 3 were probably more frequent and important about 5,000 to 3,000 years ago.
Current recharge in the less extremely arid, mountainous regions of the Altiplano and Pre-cordillera is small but could produce lateral groundwater transfer to the Central Depression. This groundwater flow is stopped by the low permeability Cordillera de la Costa, thus forming a large groundwater reservoir which shows up at the surface as crypto-wetlands and salt deposits at elevations ranging between 500 and 1,000 m. This is the case of the Salar del Carmen, located in the Central Depression, directly to the east of the city of Antofagasta, where the water table is only a few meters beneath the surface and salts precipitate from evaporating water brought to the surface by capillary action. Similar cases are recognized further north, in the Pampa del Tamarugal aquifers, where runoff and groundwater from the Altiplano is also trapped against the Cordillera de la Costa, generating the large salt pans of Bellavista and Pintados.
Due to lack of detailed data and in order to constrain the hydrogeological conceptual model, a simplified groundwater hydraulic treatment in a homogeneous medium is presented. It is hypothesized that the small springs along the coastline, in addition to invisible diffuse discharges, may be due to local recharge by past or present rainfall events that originate in the Pacific Ocean, and perhaps some underground transfer from the mainland originated in the the Altiplano. For the Cordillera de la Costa at the latitude of the city of Antofagasta, a width of L=10 km and a water-table elevation in the Salar del Carmen of h=500 m can be assumed. A mathematical formulation that could explain the hydraulic conditions under which groundwater flows from the Central Depression to the coast can occur is presented in the Appendix.
7.3. Recharge in the Cordillera de la Costa
Recent climate research have shown that the high rainfall events in the Atacama Desert coast are far apart in time and only occur as a result of the presence of El Niño (Houston, 2006). Precipitation in the Cordillera de la Costa consists in rain and low fog (Camanchaca), the more intense events producing diffuse recharge on land with little or no soil and in areas covered with low water retention eolian deposits, although, as before said, the isotopic studies carried out on the coast of central Chile rule out fog condensation as a significant recharge mechanism (Squeo et al., 2006) but in local situations. Occasional intense and far in time rain events are capable of some quick runoff, but due to the high slopes of the Cordillera de la Costa these runoff would not produce any locally significant infiltration at general level. Since current vegetation cover is very sparse or nil, most of rainfall stored near the land surface as soil and cracks moisture evaporates, with possible significant isotopic fractionation, strong evapoconcentration and the derived high salinity, especially where there is an important airborne saline contribution and low precipitation.
In general, the unsaturated zone can be expected to be tens of meters thick, without permanent perched aquifers or only active after occasional rare rainfall events. In principle it is expected that recharged water moves vertically downward in diffuse form, preferably through the rock matrix, except after very heavy rainfall events, when flow through fractures could dominate up to certain depth. There is also the possibility that water penetrating through fractures temporarily accumulate above some very low permeability, tilted and sealed laterally level, which can favor concentrated recharge along fault planes, as in the ignimbrites of Yucca Mountain in Nevada (Zhu et al., 2003). In such situations, if shallow, occasional storm water may move fast to the water table.
7.4. Flow in the unsaturated zone and residence time in the saturated zone
It is expected that the flow into the saturated zone moves preferably through a fracture network in relatively fast hydraulic equilibrium with blocks, but with exchange of solutes and isotopes by diffusion with the rock matrix, in which, in the case of volcanics, resides most of the groundwater storage. Thus, water feeding the springs is preferably water supplied by the fissure network but originated in the rock blocks (matrix).
The discharged water is assumed to be in equilibrium or near equilibrium with the composition of water stored in the matrix, except perhaps after intense rainfall events, in which the water recharged in an environment close to the recharge area could reach the spring with little or moderate diffusive effect. Thus, discharge water in the springs is a water mixture representing a wide range of residence times in a system that would resemble that of good mixing (Custodio, 1997), with delayed recharge due to the flow through the unsaturated zone, as was already analyzed in the Amurga phonolitic massif in south-eastern Gran Canaria island (Custodio-Ayala and Custodio, 2001).
Assuming a constant concentration in space and time of DIC (dissolved inorganic carbon) and 14C in the DIC, the simplified isotopic balance for steady flow in a volume, V, of saturated zone is:
Q • CO = Q • C + λ • V • C
where C is the 14C concentration (activity) in water, Co is the input 14C concentration in recharge water (the atmospheric 14C concentration diminished by the disintegration during the transit time through the unsaturated zone, assumed also constant), and Q is flow.
As turnover time is
τ = V / Q; so that τ = 1/λ (Co/C - 1)
For 14C, the half-life is 5,720 years, so λ= ln2/5720 = 1.21•10-4 year -1
A simple application to a system with turnover times of 1,000, 2,000, 5,000 and 10,000 years and an assumed initial 14C recharge value of 100 pmC, the 14C concentration in discharge water is respectively 89, 80, 62, and 42 pmC. This means that the radiocarbon concentrations found can be explained by assuming constant recharge and therefore the apparent age is a function of the residence time in the flow system. A series of simplified calculations in progress (Custodio and Custodio-Ayala, 2014) consider the effect of an increase in recharge in a hyper-arid area occurring some time ago. For the period between 5,000 and 3,000 years ago, considering several hypothesis of dynamic and dead water reserves in the aquifer system, a greater recharge would produce an increased discharge lasting up to today, with higher 14C content than that corresponding to constant recharge system and resembling those obtained here. Therefore, the hypothesis of increased recharge between 5,000 and 3,000 years ago is consistent with the results obtained but several other interpretations are also possible. Additional studies are needed to try to better define aquifer functioning. Hereinafter the designation of apparent age is maintained.
For a recharge R and an unsaturated zone thickness H with soil moisture θ, assuming homogeneous concentration, the transit time through the unsaturated zone is t= θ•H/R, so that Co=Co*•e-λt is the initial 14C value of soil gas at the water table, Co* being the value near the surface.
If H vary between 10 and 100 m and θ between 0.5% (compact fissured rock) and 1% (volcanics), θ•H=0.5 to 1 m. In case that all the reduction of activity is due to the passage through the unsaturated zone, Co/ Co* is the observed 14C value in the samples, between 0.55 and 0.7. This limits the potential recharge to between 0.01 and 0.35 mm/yr, which is within the ranges shown in the Appendix. This means that 14C aging may be explained simply by the passage through the unsaturated zone. This does not agree with measurable tritium in Panul and possibly in La Chimba springs.
Recharge can also occur in a compact rock through the fractures, with little water storage change in the low porosity matrix. This is the case of recharge through sparsely distributed fissures when the occasional rain is concentrated on them by surface and subsurface runoff. In such a situation recharge can reach the aquifer in a short time compared to the half-life of the radioisotope; thus the turnover time τ of groundwater in the aquifer would simply be the value obtained by considering the 14C concentration near the surface. In this case τ varies between 3,500 and 6,700 years. This range is similar to the period in which the climate was less arid, so the recharge hypothesis in that period, with much lower recharge before and after it, is also plausible.
The rate of groundwater reserve exhaustion can be assumed exponential and estimated through the parameter α ≈ 4T/(L2S), where L is the dimension of the system, T the hydraulic transmissivity and S the massif rock specific yield. The time to exhaust half the reserve is β= ln(2)/α. For L=10 km, T=0.01 m2/d to 0.1 m2/d and S=0.005 to 0.01, it results β= 2,000 to 45,000 years. The evolution of spring flow points to a few thousand years, and therefore a T whose value is close to that of the upper part of the aquifer and an S characteristic of fissured rock with low matrix water storativity.
7.5. Relationship between spring water ‘apparent age’ and paleoclimatic events
The isotopic composition of coastal spring water generally shows values very close to that of seawater, with small deuterium excess values. It points to high humidity conditions at the time of vapor generation in the oceanic atmosphere and condensation in close-by areas. This is common in oceanic islands. The isotopic data of coastal spring water agree with this hypothesis. To explain how atmospheric vapor was generated near the coast and produced precipitation with an isotopic composition typical of the first condensation, a change of ocean currents around 5,000 years ago can be argued, with a southward shift of the equatorial warm ocean currents. This implies that in the mid-Holocene a predominance of ENSO on the coasts of southern Perú and northern Chile may have occurred. Considering that precipitation should be important enough to recharge the coastal aquifers, it can be concluded that the ENSO phenomenon in northern Chile was much more intense and frequent than today, with important changes in the oceanographic current system during the mid-Holocene. This explanation agrees to some extent with the results obtained by Ortlieb et al. (2011) from radiocarbon content in marine shells and associated charcoal fragments in archaeological deposits. These observations also agree with the study of alkenones in core samples off the coast of central and northern Chile, for which Kim et al. (2002) deduced a mid-Holocene warming of ocean surface waters resulting from changes in ocean currents.
There is an important relation between the recurrence of debris and mud flows produced by highest rainfall in the Cordillera de la Costa and ENSO events (Vargas et al., 2000). The highest rainfall that occurred 5,000 years ago coincides with effects on the terrain morphology, when alluvial fans and sediment-laden stream flows were active. They began 5,400 years ago and affected the entire coastline of northern Chile and southern Perú (Vargas et al., 2006). This also coincides with the hypotheses proposed by archaeologists for the coastline of northern Chile, according to which the discharge of coastal springs have decreased from pre-Hispanic times to the present day, causing the gradual abandonment of different sites inhabited by ancient peoples (Núñez and Varela, 1968). The time of activation of alluvial flows and the oldest apparent age of spring water do not fully coincide because water age is not a calendar value but a value that depend on groundwater turnover time, as explained before.
The time period of higher rainfall in the coastal area of northern Chile, between 5,000 and 3,000 yr B.P., also correlates with the wet weather recognized in the coastal strip of central Chile and coincide with those obtained from pollen in coastal wetlands south of the study area (Norte Chico), which indicate extensive development of swamp forest between 4,200 and 3,200 yr B.P. (Maldonado and Villagrán, 2002); from the year 3,200 B.P. they report a slow reduction in the extent of swamp forest associated with a decrease in rainfall, with xerophytic scrub vegetation typical of arid climate around 1,800 year B.P.. Other limnological records obtained further south, in central Chile, indicate that these events began before the greater precipitations of northern Chile, but ended in similar dates. This is the case of pollen records from Aculeo lagoon, at 34° south latitude, which show that between 5,700 and 3,200 years ago there was an increase of tree species related to increased rainfall in this period (Villa-Martínez et al., 2003).
The more humid climatic conditions in the coast about 5,000 years ago probably concentrated in the coastal strip and the Cordillera de la Costa since this significant orographic barrier prevents the easy passage of vapor masses inland. However, records from paleo-wetlands located in the eastern part of the Loa River basin and Salar de Atacama, show increased rainfall between 7,000 and 3,000 yr B.P. (Rech et al., 2002). While the start date of the rainfall in these places does not match that for the Cordi-llera de la Costa, the end date coincide. This allows considering that the wettest events that occurred in the Cordillera de la Costa between 5,000 and 3,000 yr B.P. may also have reached the Central Depression and western slope of the Andes.
The physiographic barrier played by the Cordillera de la Costa for the incursion of rainy fronts from the Pacific Ocean is reflected in the isotopic composition of the groundwater in the Altiplano of northern Chile, where light values of δ18O and δ2H prevail; they are characteristic of Atlantic air masses moving through the Amazon Basin (Salati et al., 1979; Aravena et al., 1999; Gonfiantini et al., 2001; Herrera et al., 2006). However, the isotopic data of waters from the Pre-cordillera and Pre-Andean basins show a mixture of vapor from the Pacific Ocean and vapor from the Amazon Basin, and could explain the coincidence in the time of the increased spring flow in the Loa River basin and Salar de Atacama. Therefore, although increased rainfall occurred in the northern coastal area of Chile between 5,000 and 3,000 yr B.P., their timing does not fully agree with the wetter events in the Altiplano but could be related with higher rainfall in the Pre-cordillera and Pre-Andean basins.
7.6. Paleo-hydrogeology of Cordillera de la Costa
The small springs located at the coast that do not receive inland groundwater flow contribution have apparent ages ranging between 3,000 and 5,000 yr B.P. Since these springs are located far apart from each other and with very different geological and hydrogeological conditions, the apparent water ages fall in a small range. This can be related to climate as the common factor for all these springs. The extreme aridity of the coastline makes the relatively small aquifers that support the springs very sensitive to any change in rainfall regime. As indicated above, an intense drought period occurred between 14,000 and 5,000 yr B.P. in the coast, with low groundwater levels and exhaustion of water stored in the aquifer at the end of this long period. Thus, it is likely that a significant portion of the water recharged and stored in coastal formations of northern Chile before 14,000 years ago was discharged during this extended period of drought lasting more than 9,000 years, with low groundwater levels in the coastal formations (Fig. 9a).
FIG. 9. Conceptual model showing the change of the water-table dome in the Cordillera de la Costa in the last 14,000 years and how this affects La Chimba spring. |
The water isotopic values indicate that coastal aquifer recharge occurred under wetter climatic conditions than today and radiocarbon content is compatible with recharge occurred at least 3,000 years ago. However the radiocarbon content can also be the result of the mixing of waters recharged along a very long time period.
The increased precipitation during the mid-Holocene produced recharge with water-table elevation possibly not reaching a stationary condition (Fig. 9b). In this scenario, a part of recharge could flow quickly through hydraulically well-connected fracture systems in the volcanic and intrusive formations, while another part moved sluggishly, increasing water storage in the rock matrix. As some springs, as La Chimba, have relatively high altitudes (450 m), it can be assumed that the water-table dome also attained high elevations. When climate conditions changed to a lower rainfall regime about 3,000 years ago to conditions similar to those prevailing today, with very scarce recharge to aquifers but locally, a progressive decline in the water table begun and still goes on (Fig. 9c). The presence of tritium in one spring, and possibly in other spring, points to some current small recharge at local scale by some sporadic rainfall events.
8. Conclusions
The main conclusions are:
- Coastal springs chemical and isotopic water composition and dissolved sulfate show that water was recharged in the coastal area of northern Chile and not inland, except for Las Vertientes spring, which has a composition characteristic of groundwater in the Central Depression.
- Coastal spring waters are isotopically heavy, pointing to recharge from air masses generated near the coast, in the Pacific Ocean. There is no water isotopic composition showing the influence of rainfall though the Amazon basin, except for Las Vertientes spring, which have a lighter isotopic composition and would correspond to the discharge of the groundwater flow from the inner region (La Negra basin), derived from Atlantic air masses from the Amazon basin, and that could be associated to a fracture zone through the Cordillera de la Costa.
- The isotopic values of spring waters are similar to rainfall along the western coastal area of Ecuador and different from rainfall in the central coastal Chile.
- The radiocarbon content of the coastal spring waters is compatible with increased recharge between 5,000 and 3,000 years ago, but a mixture of groundwater recharged at a small rate along millennia is also a possible explanation.
- The wetter conditions between 5,000 and 3,000 years ago, when recharge to coastal aquifer could happen, can be explained by the incursion of warmer currents from the coast of Ecuador to northern Chile associated with a southward displacement of El Niño-Southern Oscillation (ENSO).
- The existence of small permanent springs, some at relatively high altitude, can be explained by a groundwater body in the very low permeability rocks in the Cordillera de la Costa, even with very limited recharge, and is compatible with remnant effects of a less arid past. The springs are not related with local or perched aquifers.
Acknowledgments
This work was supported by the Universidad Católica del Norte, Chile, and the second author time was a contribution of project REDESAC CGL2009-12910 of the MINECO, Spain. Thanks to B. Keller, R. Troncoso, S. Iriarte and an anonymous reviewer for their careful reading and suggestions that greatly improved the manuscript. We thank J. Zamora and L. Gómez for their field assistance.
References
Acosta, O.; Guimerá, J.; Custodio, E.; Ansón, I.; Delgado, J.L. 2013. Contribución al conocimiento de la hidrogeología de las cuencas intraandinas del N de Chile. In Agua Subterránea Recurso Estratégico (González, N.; Kruse, E.E.; Trovatto, M.M.; editores). Editorial de la Universidad de La Plata: 118-125. La Plata.
Alcalá, F.J. 2005. Recarga a los acuíferos españoles por medio de un balance hidrogeoquímico. Tesis Doctoral, Universitat Politècnica de Catalunya: 1-719. Barcelona.
Alcalá, F.J.; Custodio, E. 2012. Spatial average recharge through atmospheric chloride mass balance ant its uncertainty in continental Spain. Hydrological Processes 28 (2): 218-236. doi: 10.1002/hyp.9556.
Aravena, R.; Suzuki, O.; Polastri, A. 1989. Coastal fogs and their relation to groundwater, IV Region, Chile. Chemical Geology (Isotope Geoscience Section) 79: 83-91.
Aravena, R.; Susuki, O.; Peña, H.; Pollastri, A.; Fuenzalida, H.; Grilli, A. 1999. Isotopic composition and origin of the precipitation in Northern Chile. Applied Geochemistry 14: 411-422.
Armijo, R.; Thiele, R. 1990. Active faulting in northern Chile: ramp stacking and lateral decoupling along a subduction plate boundary. Earth and Planetary Science Letters 98: 90-61.
Berger, I.; Cooke, R. 1997. Earth Surface Processes and Landforms 22: 581-600.
Boric, R.; Díaz, F.; Maksaev, V. 1990. Geología y yacimientos metalíferos de la Región de Antofagasta. Servicio Nacional de Geología y Minería, Boletín 40: 246 p. Santiago.
Braojos, J.J. 2011. Una metodología para la evaluación de la lluvia horizontal (aplicación en la Isla de Tene-rife). In El Conocimiento de los Recursos Hídricos en Canarias (Cabrera, M.C.; Jiménez, J.; Custodio, E.; editores). Asociación Internacional Hidrogeológica, Grupo Español: 43-52.
Carmona, V.; Pueyo, J.J.; Taberner, C.; Chong, G.; Thirlwall, M. 2000. Solute inputs in the Salar de Atacama (N. Chile). Journal of Geochemical Exploration 69: 449-452.
Cereceda, P.; Larraín, H.; Osses, P.; Farías, M.; Egaña, I. 2008. The climate of the coast and fog zone in the Tarapacá Region, Atacama Desert, Chile. Atmos- pheric Research 87: 301-311.
Chong, G. 1991. Geología de los yacimientos de nitratos de Chile. Antecedentes para establecer una teoría de su génesis. In Génesis de Formaciones Evaporíticas (Pueyo, J.J.; editor) Estudi General: 1-415. Barcelona.
Clark, I.; Fritz, P. 1997. Environmental Isotopes in Hydrogeology. Lewis: 1-328. New York.
Claypool, G.; Holser, W.; Kaplan, I.; Sakai, H.; Zak, I. 1980. The age curves of sulfur and oxygen isotopes in marine sulfate and their mutual interpretation. Chemical Geology 28: 28-199.
Cortecci, G.; Boschetti, T.; Mussi, M.; Herrera, C.; Mucchino, C.; Barbieri, M. 2005. New chemical and original isotopic data on waters from El Tatio geothermal field, northern Chile. Geochemical Journal 39 (6): 547-571.
Cortés, J.; González, G.; Binnie, S.; Robinson, R.; Freeman, S.; Vargas, G. 2012. Paleoseismology of the Mejillones Fault, northern Chile: Insights from cosmogenic 10Be and optically stimulated luminescence determinations. Tectonics 31 (2): TC2017. doi:10.1029/2011TC002877.
Custodio, E. 1985. Low permeability volcanics in the Canary Islands (Spain). In Hydrogeology of Rocks of Low Permeability. International Association of Hydrogeologists, Proceedings Congress Tucson No. 17. Memories: 562-573. Arizona.
Custodio, E. 1989. Groundwater characteristics and problems in volcanic rock terrains. In Isotope Techniques in the Study of the Hydrology of Fractured and Fissured Rocks. STI/PUB/790. International Atomic Energy Agency: 87-137. Vienna.
Custodio, E. 1990. Saline groundwater in the Canary Islands (Spain) resulting from aridity. In Greenhouse Effect, Sea Level and Drought. NATO ASI Series C: Mathematical and Physical Sciencies. Kluver Publ Co. 325: 593-618.
Custodio, E. 1992. Coastal aquifer salinization as a consequence of aridity: the case of Amurga phonolitic massif, Gran Canaria Island. In Proceedings No. 12, Saltwater Intrusion Meeting Study and Modelling of Salt water Intrusion into Aquifers. Centre Internacional de Mètodes Numèrics en Enginyería- Universitat Politècnica de Catalunya: 81-98. Barcelona. Available at http://www.swim-site.nl/pdf/swim12/(last visit 29/04/2014).
Custodio, E. 1997. Evaluación de la recarga por la lluvia mediante métodos ambientales químicos, isotópicos y térmicos. In La Evaluación de la Recarga a los Acuíferos en la Planificación Hidrológica (Custodio, E.; Llama, M.R.; Samper, J.; editores). Instituto Geológico y Minero de España: 83-109. Madrid.
Custodio, E. 2007. Groundwater in volcanic hard rocks. In Groundwater in Fractured Rocks (Krásný, J.; Sharp, J.M.Jr.; editors). International Association of Hydrogeologists, Selected Papers No. 9, Taylor and Francis: 95-108. London.
Custodio, E.; Llamas, M.R. 1983. Hidrología subterránea. Editorial Omega 1-2: 1-2350. Barcelona.
Custodio, E.; Herrera, C. 2000. Utilización de la relación Cl/Br como trazador hidrogeoquímico en hidrología subterránea. Boletín Geológico y Minero 111 (4): 49-68.
Custodio, E.; Custodio-Ayala, J. 2014. Efecto de un período más lluvioso en el contenido en radiocarbono de un acuífero freático extenso en un área árida. In Assambleia Luso-Espanhola de Geodesia e Geofísica No. 8 (Caldeira, B.; Barrenho, S.; Borges, J.F.; Ponhinho, J.; Costa, M.J.; Duque, M.R.; Bezzeghoud, M.; Delgado, R.; editores). Évora: 521-524.
Custodio-Ayala, J.; Custodio, E. 2001. Hidrogeoquímica isotópica del macizo fonolítico de Amurga (SE de la Isla de Gran Canaria). In Las Caras del Agua Subterránea (Medina, A.; Carrera, J.; editores). Serie Hidrogeología y Aguas Subterráneas 1/2001. Instituto Geológico y Minero de España, 1: 461-468. Madrid.
Dansgaard, W. 1964. Stable isotopes in precipitation. Tellus 16 (4): 436-468.
DGA. 1987. Balance hídrico de Chile. Dirección Gene-ral de Aguas, Ministerio de Obras Públicas: 23 p. Santiago.
Espinoza, S.; Jensen, A.; Marcello, A.; Pretti, S.; Torres, R. 2000. Desarrollo geomorfológico de la cuenca del Salar del Carmen, implicancias ambientales. In Congreso Geológico Chileno No. 9, Actas 1: 27-31. Antofagasta.
Ewing, S.; Sutter, B.; Owen, J.; Nishiizumi, K.; Sharp, W.; Cliff, S.; Perry, K.; Dietrich, W.; McKay, P.; Amund-son, R. 2006. A threshold in soil formations at Earth’s arid-hyperarid transition. Geochimica et Cosmochimica, Acta 70: 4023-4038.
Ewing, S.; Yang, W.; De Paolo, D.; Michalski, G.; Kendall, C.; Stewart, B.; Thiemens, M.; Amundson, R. 2008. Non-biological fractionation of stable Ca isotopes in soils of the Atacama Desert, Chile. Geochimica et Cosmochimica, Acta 72: 1096-1110.
Fritz, P.; Fontes, J.Ch. 1986. Handbook of environmental isotopes. Elsevier 1: 1-545.
García, F. 1967. Geología del Norte Grande de Chile. Sociedad Geológica de Chile: 1-138. Santiago.
Garreaud, R.; Rutllant, J. 1996. Análisis meteorológico de los aluviones de Antofagasta y Santiago de Chile en el período 1991-1993. Atmósfera 9: 251-271.
Geyh, M.; Grosjean, M.; Núñez, L.; Schotterer, U. 1999. Radiocarbon reservoir effect and the timing of the Late-Glacial/early Holocene humid phase in the Atacama desert (Northern Chile). Quaternary Research 52: 143-153.
Gonfiantini, R.; Roche, M.; Olivery, J.; Fontes, J.; Zuppi, G. 2001. The altitude effect on the isotopic composition of tropical rains. Chemical Geology 181 (1-4): 147-167.
González, G.; Niemeyer, H. 2005. Cartas Antofagasta y Punta Tetas. Servicio Nacional de Geología y Minería, Serie Geología Básica 89: 35 p. Santiago.
Grosjean, M.; Núñez, L.; Cartajena, I.; Messerli, B. 1997. Mid-Holocene climate and culture change in the Atacama Desert, Northern Chile. Quaternary Research 48: 239-246.
Grosjean, M.; van Leeuwen, J.; van der Knaap, W.; Geyh, M.; Ammann, B.; Tanner, W.; Messerli, B.; Núñez, L.; Garce, B.; Veit, H. 2001. A 22,000 14C year B.P. sediment and pollen record of climate change from Laguna Miscanti (231S), northern Chile. Global and Planetary Change 28: 35-51.
Herrera, C.; Custodio, E. 2002. Old marine water in Fuerteventura island deep formations. Proceedings No. 17, Salt Water Intrusion Meeting. Delft University of Technolgy, Faculty of Civil Engineering and Geosciences: 481-488. Available at http://www.swim-site.nl/pdf/swim12/ (last visit 29/04/2014).
Herrera, C.; Custodio, E. 2004. Hipótesis sobre el origen de la salinidad de las aguas subterráneas en la isla de Fuerteventura. Archipiélago de Canarias, España. Boletín Geológico y Minero 114 (4): 433-452.
Herrera, C.; Custodio, E. 2008. Conceptual hydrogeological model of volcanic Easter Island (Chile) after chemical and isotopic surveys. Hydrogeology Journal 16: 1329-1348.
Herrera, C.; Pueyo, J.; Sáez, A.; Valero-Garcés, B. 2006. Relación de aguas superficiales y subterráneas en el área del lago Chungará y lagunas de Cotacotani, norte de Chile: un estudio isotópico. Revista Geológica de Chile 33 (2): 299-325.
Houston, J. 2006. Variability of precipitation in the Atacama Desert: Its causes and hydrological impact. International Journal of Climatology 26: 2118-2198.
IAEA, 2006. Isotope Hydrology Information System. The ISOHIS Database. Accessible at http://www.iaea.org/water (last visit 29/04/2014).
Instituto Geográfico Militar. 1984. Geografía de Chile, Hidrografía 8: 320 p. Santiago.
Jiménez, P.; Villegas, L.; Villasante, F.; Talavera, C.; Ortega, A. 2012. Las Lomas de Atiquipa: agua en el desierto. In ¿Gratis? Los Servicios de la Naturaleza y Cómo Sostenerlos en Perú (Hajek, F.; Martínez de Anguita, P.; editores). Servicios Ecosistémicos Perú, Miraflores 9: 159-170. Lima.
Kim, J.; Schneider, R.; Hebbeln, D.; Müller, P; Wefer, G. 2002. Last deglacial sea-surface temperature evolution in the Southeast Pacific compared to climate changes on the South American Continent. Quaternary Science Reviews 21: 2085-2097.
Klohn, W. 1972. Hidrografía de las zonas desérticas de Chile. Proyecto CHI-535. Programa de las Naciones Unidas Para el Desarrollo: 1-188. Santiago.
Latorre, C.; Betancourt, J.L.; Rylander, K.; Quade, J. 2002. Vegetation invasions into absolute desert: A 45,000 yr rodent midden record from the Calama-Salar de Atacama basins, northern Chile (lat. 22°-24°S). Geological Society of America Bulletin 114: 349-366.
Llagostera, A.; Kong, I.; Iratchet, P. 1997. Análisis ictioarqueológico del sitio La Chimba 13 (II Región, Chile) 29: 163-179. Chungará.
Lynch, T.; Stevenson, C. 1992. Obsidian hydration dating and temperature controls in the Punta Negra Región of Northern Chile. Quaternary Research 37: 117-867.
Maldonado, A.; Villagrán, C. 2002. Paleoenvironmental changes in the semiarid coast of Chile (32°S) during the Last 6,200 cal years inferred from a swamp-forest pollen record. Quaternary Research 58: 130-138.
Maldonado, A.; Rozas, E. 2008. Clima y paleoambientes durante el Cuaternario Tardío en la Región de Atacama. In Libro Rojo de la Flora Nativa y de los Sitios Prioritarios para su Conservación. Editorial de la Universidad de la Serena 16: 293-304.
Michlalski, G.; Böhlke, J.K.; Thiemens, M. 2004. Long term atmospheric deposition as the source of nitrate and other salts in the Atacama Desert, Chile: New evidence from mass-independent oxygen isotopic compositions. Geochimica et Cosmochimica Acta 68: 4023-4038.
Núñez, L.; Varela, J. 1968. Sobre los recursos de agua y el poblamiento prehispánico de la Costa del Norte Grande de Chile. Estudios Arqueológicos, Departamento de Arqueología y Museos, Universidad de Chile 3-4: 1-41. Antofagasta.
Núñez, L.; Grosjean, M. 1994. Cambios ambientales pleistoceno-holocénicos: ocupación humana y uso de recursos en la Puna de Atacama (norte de Chile). Estudios Atacameños 11: 7-20.
Núñez, L.; Grosjean, M.; Messerli, B.; Schrelier, H. 1997. Cambios ambientales holocénicos en la Puna de Atacama y sus implicancias paleoclimáticas. Estudios Atacameños 12: 25-33.
Núñez, L.; Grosjean, M.; Cartajena, I. 2002. Human occupations and climate change in the Puna de Atacama, Chile. Science 298: 821-824.
Ogaz, P.; Fuenzalida, H. 1981. Acerca de un paso frontal y sus manifestaciones en el litoral árido del norte de Chile. Tralka 2: 19-38.
Ortlieb, L.; Vargas, G.; Saliège, J. 2011. Marine radiocarbon reservoir effect along the northern Chile-southern Peru coast (14-24 degrees S) throughout the Holocene. Quaternary Research 75 (1): 91-103.
Pankhurst, D.L. 1995. User’s guide to PHREEQC-A computer program for speciation, reaction-path, advective-transport, and inverse geochemical calculations. United States Geological Survey Water-Resources Investigations Report 95-4227: 1-143.
Plata, A. 1994. Composición Isotópica de las Aguas Subterráneas de la Península Ibérica. Centro de Estudios y Experimentación de Obras Públicas: 1-139. Madrid.
Pueyo, J.J.; Chong, G.; Vega, M. 1998. Mineralogía y evolución de las salmueras madres en el yacimiento de nitratos Pedro de Valdivia, Antofagasta, Chile. Revista Geológica de Chile 25 (1): 3-15.
Quezada, J.; Cerda, J.L.; Jensen, A. 2010. Efectos de la tectónica y el clima en la configuración morfológica del relieve costero del norte de Chile. Andean Geo-logy 37 (1): 78-109.
Quade, J.; Rech, J.; Latorre, C.; Betancourt, J.; Gleeson, E.; Kalin, M. 2007. Soils at the hyperarid margin: The isotopic composition of soil carbonate from the Atacama Desert. Geochimica et Cosmochimica Acta 71: 3772-3995.
Ramírez, J. 1982. Cálculo del potencial hídrico de las nubes rasantes en el desierto costero de Chile. Terra Australis 26: 95-107.
Rech, J.; Quade, J.; Betancourt, J. 2002. Late Quaternary paleohydrology of the central Atacama desert (lat 22º-24ºS), Chile. Geological Society of America, Bulletin 114: 334-348.
Rech, J.; Quade, J.; Betancourt, J. 2002. Late Quaternary paleohydrology of the central Atacama Desert (lat 22°-24°S), Chile. Geological Society of America Bulletin 114 (3): 334-348.
Rech, J.; Quade, J.; Hart, W. 2003. Isotopic evidence for the origin of Ca and S in soil gypsum, anhydrite, and calcite in the Atacama Desert, Chile. Geochimica et Cosmochimica Acta 67 (4): 575-586.
Riquelme, R.; Martinod, I.; Hérail, G.; Darrozes, J.; Charrier, R. 2003. A geomorphological approach to determining the Neogene to Recent tectonic deformation in the Coastal Cordillera of northern Chile (Atacama). Tectonophysics 361: 255-275.
Risacher, F.; Alonso, H.; Salazar, C. 1999. Geoquímica de aguas en cuencas cerradas: I, II, III Regiones-Chile. Ministerio de Obras Públicas 2: 207 p. Chile.
Román, R. 1999. Obtención del agua potable por métodos no tradicionales. Ciencia al Día Internacional. Tecnología y Ciencias de la Tierra: 13 p. Chile.
Rutllant, J. 1985. Natural desertification mechanisms along the arid west coast of South America. In Proceedings International Workshop on Sand Transportation and Desertification in Arid Lands, Khartoum: 235-252. Sudan.
Salati, E.; Dall-Olio, A.; Matsui, E.; Gat, J.R. 1979. Recycling of water in the Amazon Basin: an isotopic study. Water Resources Research 15: 1250-1258.
Santana, L.M. 1987. Las precipitaciones de niebla en la provincia de Santa Cruz de Tenerife. Agro-Cabildo, Cabildo de Tenerife: 41 p. Available at http://www.agrocabildo.org (last visit 29/04/2014).
Scheuber, E.; Andriessen, A. 1990. The kinematics and geodynamic significance of the Atacama fault zone, northern Chile. Journal of Structural Geology 12: 243-237.
Squeo, F.; Aravena, R.; Aguirre, E.; Pollastri, A.; Jorquera, C.; Ehleringer, J. 2006. Groundwater dynamics in a costal aquifer in north-central Chile: Implications for groundwater recharge in an arid ecosystem. Journal of Arid Environments 67: 240-254.
Tapia, P.; Fritz, S.; Baker, P.; Seltzer, G.; Dunbar, B. 2003. A Late Quaternary diatom record of tropical climatic history from Lake Titicaca (Perú and Bolivia). Palaeogeography, Palaeoclimatology, Palaeoecology 194 (1-3): 139-164.
Vargas, G.; Ortlieb, L.; Rutllant, J. 2000. Aluviones históricos en Antofagasta y su relación con eventos El Niño/Oscilación del Sur. Revista Geológica de Chile 27: 157-176.
Vargas, G.; Rutllant, J.; Ortlieb, L. 2006. ENSO tropical-extratropical climate teleconnections and mechanisms for Holocene debris flows along the hyperarid coast of western South America (17°-24°S). Earth and Planetary Science Letters 249: 467-483.
Villa-Martínez, R.; Villagrán, C.; Jenny, B. 2003. The last 7500 cal yr B.P. of westerly rainfall in Central Chile inferred from a high-resolution pollen record from Laguna Aculeo (34°S). Quaternary Research 60: 284-293.
Zhu, C.; Winterle, J.R.; Love, E.I. 2003. Late Pleistocene and Holocene groundwater recharge from the chloride mass balance method and chlorine-36 data. Water Resources Research 39 (7): 1182. doi: 10.1029/2003WR001987.
Appendix
Elemental formulation of groundwater flow through the Cordillera de la Costa
A simplified groundwater flow calculation through the Cordillera de la Costa from the Central Depression to the coast is formulated. Due to the lack of detailed data, a homogeneous medium of low permeability is assumed, as shown in figure A1, with average recharge R and an imposed water-table elevation at x= L, in the area where the Central Depression is closed by the Cordillera de la Costa and representing the water-logged conditions in Salar del Carmen. The following symbols are used:
T = average transmissivity.
L = width of the Cordillera de la Costa.
R = annual average recharge.
q = groundwater flow through across the Cordillera de la Costa, per unit width along the coast.
x = distance from coast, perpendicular to it.
ho= imposed inland water table elevation.
The water balance is: dq = Rdx, and after Dacy’s law
Then
A and B are constants to be determined applying the following boundary conditions:
in x = 0 is h = 0 → B=0
in x = L is h = ho →
This results in the following steady-state water-table elevation:
The highest water-table elevation is produced when dh/dx = 0 at a distance
l is real if
otherwise the water-table maximum elevation is not inside the problem domain; this means that groundwater flow is in the same direction from x=L to x=0.
The highest water-table elevation, when it is inside the problem domain, is:
By introducing the variable τ = RL2/T, it results τ2 + 4 (ho- hm) τ - 4 ho2 = 0
Part of the recharge produced in the Cordillera de la Costa flows inlandward, and what remains feeds the springs and produce diffuse discharge: qT= R•l = RL/2+Tho/L
When an groundwater divide in not formed inside the problem domain, the water flow transferred from the Central Depression is:
and then the flow available to feed the springs and diffuse discharge is:
which is the same expression obtained above.
The above formulae are applied to Cordillera de la Costa conditions: L = = 10.000 m; ho = = 500 m, under the following conditions:
- R from nil (only water transfer from the Central Depression and the springs at an elevation below ho) up to 1 mm/yr in the most favorable parts; really R is not homogeneous in the cross-section.
- except in the case when the water table is placed close to land surface in a large fraction of the cross-section T is that corresponding to a medium of very small hydraulic conductivity, k, and quite thick (e), with the following tentative values:
- non-tectonized massif, k=10-4 to 10-6 m/d; e=100 to 1,000 m; then T=10-4 to 0.1 m2/d (~0.036 to 36 m2/yr).
- the highest springs are at 450 m elevation, but they are the discharge points of higher elevation basins. It can be expected that h is up to 800 m and not below 350 m in the non-tectonized parts, although it can be lower in tectonized areas.
- spring discharge is reckoned to be 60,000 m3/yr in 200 km, or qT= 0.3 m2/yr. Discharge could be actually greater in tectonized parts where groundwater flow concentrates or due to unaccounted diffuse recharge. Thus, a discharge between 0.3 and 2 m2/yr is estimated.
- tectonized massif (the strip associated to a main transversal fracture); k=10-2 to 10-3 m/d; e=100 m; then T=0,1 a 1 m2/d (~36 to 365 m2/yr).
To have a water-table dome:
R varies between ≥0.3 mm/yr in the tectonized areas and is ≥10-4 mm/yr in the more compact parts. According with this, a water-table dome may be expected in the Cordillera de la Costa, except in highly tectonized parts, the only ones through which groundwater may be transferred from the Central Depression toward the coast.
To limit the water-table dome elevation to 800 m
in consistent units, or R(mm/yr) ≤500T (m2/d); this means T > 2•10-3 m2/d
To limit qT to a value between 0.3 and 2 m2/yr, it results 20 qT= 105 R + T in consistent units. Since the value of T has little influence, R≈ 2•10-4 qT, resulting in R between 0.2 and 0.03 mm/yr.
This highly simplified analysis shows that the recharge rate that could explain actual current observations is in the range 0.03 to 0.2 mm/yr, which allows a water-table dome to be formed in the Cordillera de la Costa, except in the most tectonized areas, whereas the hydraulic transmissivity can be expected to exceed a 2•10-3 m2/d and groundwater may be transferred from the Central Depression; recharge produced in the Cordillera de la Costa is added to that flow, but some drainage transversal to the cross-section is produced since the flow pattern is three-dimensional. The upper limit of these recharge values cannot be explained with current rainfall. Two possible explanations can be considered: a. current higher recharge than assumed, due to occasional, poorly known, exceptional recharge in moments of rare intense rainfall events; and b. present situation is the remnant of a more rainy past period during which groundwater storage conspicuously increased and the effect has not fully decayed, this agrees with the decreasing spring outflow shown by historical and pre-historical data.
The water-table sensitivity to recharge deviations from the average value R, is:
In Cordillera de la Costa central position (x= L/2):
which in the considered case is Δh(m) ≈ 36 ΔR(mm/yr)/T(m2/d)
For R= 0.1 mm/yr, when it doubles in the most compact part of the massif, with T= 2•10-3 m2/d, it results Δh= 175 m, which means saturation up to the surface. This situation is poorly real. This again means that R <<0.1 mm/yr, but at the higher T tectonized areas.

