Plantilla de artículo 2013
Andean Geology 51 (1): 247-267. Enero, 2024
Andean Geology
doi: 10.5027/andgeoV51n1-3644
Fluctuaciones recientes del glaciar Alerce (1953-2020),
Andes de Patagonia norte
*Juan Cruz Ghilardi Truffa1, Lucas Ruiz1, Pierre Pitte1, Lautaro Clavero1

1 Instituto Argentino de Nivología, Glaciología y Ciencias Ambientales (IANIGLA), Universidad Nacional de Cuyo, CONICET, Ruiz Leal S/N, Parque General San Martín, Mendoza, Argentina.
jcghilardi@mendoza-conicet.gob.ar, lruiz@mendoza-conicet.gob.ar, pierrepitte@mendoza-conicet.gob.ar, lclavero@mendoza-conicet.gob.ar

* Autor de correspondencia: jcghilardi@mendoza-conicet.gob.ar

En las últimas décadas se ha observado un retroceso de los glaciares en todos los cordones montañosos del mundo. Durante los últimos 20 años, los glaciares de los Andes perdieron masa a una tasa sin precedentes en el registro histórico. En particular, los glaciares de Patagonia norte son los que presentan la mayor tasa de pérdida de todas las regiones andinas para la última década. Contar con registros detallados sobre las variaciones en la extensión de los glaciares en el largo plazo es crucial para poner en contexto el cambio climático actual y cuantificar su impacto en zonas de montaña. En el presente estudio se realizó la reconstrucción de la extensión (área y longitud) del glaciar Alerce (41,15° S-71,81° O) para los últimos 70 años. Utilizando una combinación de documentos históricos e imágenes satelitales (Landsat y Pléiades), se generó cartografía de detalle para cuantificar las fluctuaciones del frente del glaciar Alerce para el período 1953-2020. Se evaluaron cuatro metodologías para medir la posición del frente: i) línea central de flujo; ii) caja curvilínea; iii) multilínea; y iv) caja variable. La magnitud de la variación del frente depende de la metodología aplicada. El método que mejor contempla la variación del frente del glaciar a lo largo del período analizado es el de caja variable. Entre 1953 y 2020, el glaciar Alerce perdió el 35% de su superficie (1,1±0,1 km2) y el 67% de su longitud total (1,49±0,04 km). Es posible distinguir períodos con diferentes tasas de retroceso. Una leve (-11,3±0,5 ma-1) entre 1953 y 1976, seguida de un período de relativa estabilidad (-6,7±0,5 ma-1) entre 1977 y 1983, luego un marcado retroceso (-58,7±0,5 ma-1) entre 1984 y 1999, otro período de estabilidad (-5,4±0,5 ma-1) entre 2000 y 2009 y, finalmente, otra etapa de retroceso (-8,7±0,5 ma-1) entre 2010 y 2020. Las tasas de retroceso para el glaciar Alerce coinciden con las observadas en otros glaciares de la región, lo cual puede representar una señal climática regional.

Palabras clave: Cambio climático, Andes de Patagonia norte, Fluctuaciones glaciares, Glaciar Alerce.

 

RESUMEN

1. Introducción

En las últimas décadas se ha observado un retroceso de los glaciares en todos los cordones montañosos del mundo (WGMS, 2021). En los Andes, los glaciares perdieron masa a una de las tasas más altas del registro histórico (Zemp et al., 2015, 2019), la cual ha sido más acentuada en los Andes Tropicales (10-20° S) y Andes Patagónicos (38-55° S) (Hugonnet et al., 2021). En particular, en los Andes de Patagonia norte se observa un significativo aumento de la pérdida de masa para el período 2009-2018 con respecto a 2000-2009 (Dussaillant et al., 2019).

Si bien el conocimiento sobre el estado de la criósfera andina ha crecido en los últimos años, los estudios detallados aún son escasos (Masiokas et al., 2020). Para mejorar la comprensión de los procesos que actúan en los distintos componentes de la criósfera es crucial contar con series temporales más extensas (Masiokas et al., 2008). De esta manera es posible identificar tendencias pasadas y así validar las simulaciones numéricas utilizadas para modelar los posibles escenarios de cambio climático futuro (IPCC, 2021).

Cuantificar las variaciones de longitud y área de manera precisa y consistente es decisivo para investigar la dinámica del glaciar y su potencial relación con el clima (e.g., Oerlemans, 2001; Cogley et al., 2011; Lea et al., 2014). El método estándar para determinar la posición del frente de un glaciar es el de línea central de flujo, que implica medir la longitud máxima del glaciar sobre la línea de flujo central (WGMS, 2021). Debido a su definición relativamente sencilla y a su aplicabilidad en un rango amplio de casos, este método ha sido utilizado extensamente (Lea et al., 2014). Sin embargo, para aquellos cuerpos de hielo que presentan frentes sinuosos y anchos variables, la aplicación de este método se hace menos factible (Lea et al., 2014; Lea, 2018).

Los glaciares en los Andes, al igual que en la mayoría de las regiones del mundo, se ubican en zonas de difícil acceso y clima extremo, por lo que herramientas complementarias, como fotografías aéreas e imágenes satelitales, se han utilizado extensamente para estudiarlos (e.g., Paul et al., 2007; Colgan et al., 2016).

La escasa disponibilidad de imágenes satelitales para los años anteriores a la década de 1970, limitan los estudios de detalle a los últimos 50 años. Para conocer las características y distribución de los glaciares en épocas previas existen diversas técnicas que permiten inferir su extensión, morfología y espesor, por ejemplo, estudios geomorfológicos combinados con variadas técnicas de datación (Villalba et al., 1997). Por otro lado, los registros históricos (mapas antiguos, fotografías o crónicas) proveen información útil para detectar posibles cambios de forma en el glaciar a escalas decadales e incluso anuales hasta varios siglos atrás en casos excepcionales (e.g., Nussbaumer et al., 2011). En los Andes del Sur (20-55° S), estos registros usualmente cubren el último siglo (Araneda et al., 2009; Espizua y Pitte, 2009).

La morfología de los glaciares está relacionada con las variaciones climáticas locales, pero también depende de las dimensiones y la capacidad de fluir de ellos (e.g., Oerlemans, 2001; Cogley et al., 2011). Los cambios en su volumen y espesor (balance de masa) son una respuesta directa al clima, mientras que las variaciones de área y longitud lo son de manera indirecta, retrasada y filtrada al mismo forzante climático (WGMS, 2008).

Existen distintos factores que condicionan la respuesta de los glaciares al cambio climático, por ejemplo, su morfología, la topografía del área, la orientación del glaciar, el contacto con un cuerpo de agua, la presencia de una cubierta de detritos, la altitud, entre otros (e.g., Anderson y Anderson, 2010; Cuffey y Paterson, 2010). Por lo tanto, diferentes glaciares exhibirán diversos patrones de respuesta ante una idéntica señal climática (Post y LaChapelle, 2000; Arendt et al., 2009). A su vez, puede también suceder que un glaciar responda inicialmente a una variación climática de cierta forma y posteriormente se comporte de otra manera, independiente del clima, como es el caso de algunos que terminan en cuerpos de agua (e.g., Meier y Post, 1987).

Contar con registros detallados sobre las variaciones de la extensión de los glaciares en el largo plazo es crucial para poner en contexto el cambio climático actual y cuantificar su impacto en zonas de montaña (e.g., Nussbaumer et al., 2011; Schoolmeester et al., 2018). A diferencia de los Andes del Sur, en los Andes de Patagonia norte la falta de registros históricos sobre los glaciares limitan las investigaciones a las últimas cuatro décadas (Rivera et al., 2002; Leclercq et al., 2012; Ruiz et al., 2012). En el presente estudio se efectúa una reconstrucción de la extensión (área y longitud) del glaciar Alerce (41,15° S-71,81° O) para los últimos 70 años (1953-2020) mediante una combinación de documentos históricos e imágenes satelitales (Landsat y Pléiades). Además, se analizan y evalúan diferentes metodologías para calcular sus cambios de longitud. Finalmente, para poner en contexto los cambios observados, se comparan los resultados obtenidos para el glaciar Alerce con respecto a otros glaciares dentro de la región.

2. Contexto regional

El glaciar Alerce (Fig. 1) se encuentra en los Andes de Patagonia norte (35-45° S, 70-72° O), en Argentina. Los glaciares de la región se concentran en las cumbres más altas, a lo largo del eje cordillerano y ocupan un área relativamente pequeña (Lliboutry, 1998). En esta zona predominan los glaciares descubiertos (75% del área ocupada por glaciares), los que se ubican alrededor de los 1.700 m s.n.m. (Barcaza et al., 2017; Zalazar et al., 2020).

fig.1

FIG. 1. Ubicación del glaciar Alerce en el monte Tronador. A. Ubicación del monte Tronador dentro de la cuenca de los ríos Manso y Puelo (celeste), junto con los glaciares Frías, Alerce y Esperanza Norte (triángulos amarillos); la línea roja de trazo discontinuo representa el límite político entre Argentina y Chile. B. Detalle de los glaciares del lado argentino del monte Tronador: el glaciar Alerce (rectángulo rojo) y los refugios Otto Meiling y Agostino Rocca (triángulos rojos). Extensión de glaciares del monte Tronador (líneas amarillas) basado en Ruiz et al. (2012). Imágenes de base A Pléiades del año 2020 (©CNES 2020, Distribution Airbus DyS) y B ESRI.

 

El clima de la región se caracteriza por un régimen estacional de precipitaciones concentradas en invierno, moduladas mayoritariamente por los vientos del Pacífico (Sagredo y Lowell, 2012; Viale y Garreaud, 2015). A la latitud de Patagonia norte, la cordillera forma una barrera topográfica que regula los aportes hídricos de los vientos del oeste, generando un fuerte gradiente de precipitación este-oeste (Masiokas et al., 2008; Viale y Garreaud, 2015). Los valores anuales de precipitación varían desde ~5.000 mm en las laderas occidentales de los Andes, hasta ~1.000 mm en las vertientes orientales (Lenaerts et al., 2014; Viale y Garreaud, 2015).

Existe asimismo una marcada estacionalidad en las temperaturas medias mensuales en la región, que descienden hasta los 4-8 °C (Chile) y 2-4 °C (Argentina) en invierno (Miller, 1976 in Masiokas et al., 2008) y ascienden hasta los 14-18 °C durante el verano en ambos países (Prohaska, 1976 in Masiokas et al., 2008). La temperatura media anual también presenta un gradiente este-oeste, con valores entre 11 y 8 °C, en las zonas costeras de Chile y las estribaciones orientales de la cordillera de los Andes de Argentina, respectivamente (Prohaska, 1976; Miller, 1976 in Masiokas et al., 2008). La isoterma de 0 °C fluctúa entre los 1.400 m s.n.m. (julio) y los 3.000 m s.n.m. (febrero), con valores medios anuales de ~2.200 m s.n.m. (Carrasco et al., 2008), mientras que la línea de nieve se encuentra generalmente por debajo de los 2.000 m s.n.m. (Sagredo y Lowell, 2012).

En Patagonia norte, las series de variaciones de longitud y área de los glaciares Frías (41,16° S,      71,83° O) y Esperanza Norte (42,13° S, 72,15° O) (Fig. 1A) son de las más extensas y detalladas de los Andes. Ambos exhiben un patrón similar de variaciones de longitud y área; tienen su máxima extensión en la Pequeña Edad de Hielo (~1650), un pequeño reavance entre los años 1970 y 1976, y un fuerte retroceso hacia finales de la década de 1980, seguido por una desaceleración en los últimos años (Leclercq et al., 2012; Ruiz et al., 2012).

2.1. El glaciar Alerce

El glaciar Alerce (2,16 km2 en 2020) es, junto con los glaciares Manso, Castaño Overa y Frías, uno de los cuatro principales en el lado argentino del Monte Tronador (Fig. 1). Se extiende desde los 2.400 m s.n.m. hasta los 1.650 m s.n.m de altitud. En la actualidad, morfológicamente corresponde a un glaciar de montaña, aunque hasta 1980 tenía una lengua que descendía hasta el fondo del valle (Rabassa et al., 1978). Es un glaciar descubierto, tiene una orientación dominante hacia el sureste, una pendiente media de 17° y pertenece a la cuenca de los ríos Manso y Puelo, cuyas aguas se vierten en el océano Pacífico. Aguas abajo del glaciar se encuentra un lago proglacial (lago Alerce) (Fig. 1B).

Desde el año 2013, en el marco del Inventario Nacional de Glaciares de Argentina (Ley 26.639), el IANIGLA (Instituto Argentino de Nivología, Glaciología y Ciencias Ambientales) realiza un monitoreo sistemático del glaciar Alerce. El Instituto lo eligió como referencia para los Andes de Patagonia norte debido a que posee un tamaño, rango altimétrico, orientación y pendiente media representativos de la mayoría de los glaciares de la región (Zalazar et al., 2020).

3. Materiales y métodos

3.1. Registros históricos del glaciar

En este trabajo se recopilaron fotografías históricas del glaciar Alerce. Se identificaron los sectores desde donde se tomaron estas fotografías por medio de la descripción provista en cada fotografía. Posteriormente, desde los sectores identificados, se tomaron nuevas fotografías con encuadre similar al observado en las fotografías históricas.

A su vez, se digitalizó un mapa inédito realizado por Corte, Rubulis, Leiva y Suárez entre 1953 y 1983. Para georreferenciar el mapa, se efectuó un levantamiento de puntos de control con un receptor GNSS Trimble GEO HX 6.000 y la estación de referencia fue Bariloche (BCH1), lo que permitió obtener coordenadas con precisión centimétrica. Se georreferenció el mapa aplicando una transformación lineal y como procedimiento de remuestreo el método de vecino más cercano.

Se evaluó el resultado de la georreferenciación teniendo  en cuenta: i) la cantidad de puntos de control; ii) el error residual medio; iii) el ajuste de los bordes del lago y el río observados en el mapa (1953-1983) respecto a la imagen Pléiades (2019); iv) la diferencia entre la escala del mapa y los segmentos lineales de igual longitud; y, por último, v) la diferencia de la distancia entre el punto de referencia del mapa y el límite frontal del glaciar para el año 1953, y un segmento lineal de igual longitud.

3.2. Imágenes satelitales y fotografías utilizadas

Para reconstruir la morfología del glaciar previa a la década de 1980, se emplearon fotografías aéreas, imágenes del satélite US KH-9 Hexagon (Masiokas et al., 2015) y el mapa digitalizado. Para los años posteriores se utilizaron imágenes satelitales Landsat y Pléiades (Tabla 1), priorizando imágenes tomadas hacia fines de verano (febrero-abril). En función de la disponibilidad de imágenes, se seleccionaron aquellas con menor cobertura de nubes y ausencia de errores de procesamiento (Wulder et al., 2008).

3.3. Cambios de área del glaciar Alerce

En las imágenes disponibles se interpretó el contorno del glaciar y se generó manualmente un polígono para cada año, tomando en cuenta para ello criterios de cambio de tonalidad (Paul y Andreassen, 2009; Frey et al., 2010; Loriaux y Ruiz, 2021).

Para aquellos años donde no fue posible obtener información de los bordes (zonas en sombra o sin información), se mantuvieron los límites interpretados a partir de la imagen más cercana en el tiempo. 

Bajo el supuesto de que el límite superior de la zona de acumulación del glaciar (cabecera) no ha cambiado significativamente desde 1953 a 2020, este se delimitó sobre la base de una imagen Pléiades del año 2012 y se fijó para el resto de las interpretaciones.

Para estimar el error asociado a la extensión del glaciar se consideraron dos fuentes: i) el error asociado al proceso de georreferenciación; y ii) el asociado al mapeo (i.e., interpretación) de los límites del glaciar (Hall et al., 2003).

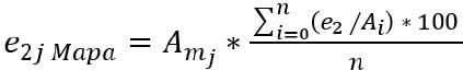
El error de georreferenciación (e1) del mapa y las fotografías aéreas es igual al error residual medio resultante de la georreferenciación. Para las imágenes Pléiades se consideró un e1/ de 0,5 m (Ruiz et al., 2015) y para las Landsat 5 y 8, un error de 12 m (Wulder et al., 2019). El error de mapeo (e2) se estimó calculando la diferencia media entre el área de los polígonos mapeados según imágenes Pléiades de los años 2012, 2019 y 2020, y aquellos mapeados sobre la base de imágenes Landsat para los mismos años. Para estimar el error de las interpretaciones realizadas de acuerdo con el mapa (e2 Mapa), se utilizó el valor medio del error de mapeo, relativo a las imágenes satelitales sobre el total del área para cada año (ecuación 1).

  ec1 ecuación 1

Donde:

e2j Mapa es el error de mapeo de los polígonos generados en el mapa para el año j; (km2)
Amj es el área del polígono originado a partir del mapa del año j; (km2)
e2 es el error de mapeo de los polígonos producidos sobre la base de imágenes satelitales; (km2)
Ai es el área del polígono generado a partir de imágenes satelitales correspondiente al año i; (km2)
n es la cantidad de polígonos creados a partir de imágenes satelitales
Dado que los errores (e2 y e1) se consideran independientes, el error total de cartografía de cada polígono (et) está dado por:

 

         ec2    ecuación 2

3.4. Cambios de longitud del glaciar Alerce

Se calcularon las variaciones de la posición del frente del glaciar Alerce de acuerdo con cuatro métodos propuestos por Lea (2018) (Fig. 2): a) línea central de flujo; b) caja curvilínea; c) caja variable; y d) multilínea. Se analizaron las diferencias entre estas metodologías y se determinó cuál es la más apropiada para el caso de estudio.

fig.2

FIG. 2. Metodologías aplicadas para determinar las fluctuaciones del frente del glaciar Alerce para el intervalo 1953-2020: A. Línea central de flujo; B. Caja curvilínea; C. Caja variable; y D. Multilínea. Modificado de Lea (2018).

 

En el método de línea central de flujo se utilizó la línea central de flujo del glaciar Alerce modificada de Ruiz et al. (2015) (vector de línea) y los límites del frente (polígonos) para calcular la variación de la posición del frente (Fig. 2A). En un perfil transversal al glaciar, esa línea usualmente coincide con el máximo espesor de hielo y con las máximas velocidades (James y Carrivick, 2016). Para obtener las posiciones del frente de cada año, se estimó la línea central de flujo para cada polígono y se calculó su longitud. Para la determinación del error cartográfico se utilizó la ecuación 2.

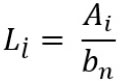
El método de caja curvilínea utiliza una caja de ancho fijo, generada a partir de la línea de flujo central para calcular la variación de la posición media del frente (Fig. 2B) y tiene la ventaja de que permite capturar la sinuosidad a lo ancho del frente. Cada caja curvilínea se generó con una función buffer al vector de línea central de flujo. Para evaluar la sensibilidad del método ante variaciones del ancho de caja, se efectuaron pruebas con 6 cajas curvilíneas de diferentes amplitudes (200, 400, 600, 800, 1.000 y 1.200 m de ancho). La posición relativa del frente se obtiene al simplificar la caja como un rectángulo, donde la medida de uno de los lados (longitud) representa la posición media del frente. De esta manera, se calculó la posición del frente utilizando la ecuación 3.

     ec3           ecuación 3

Donde:
Li es la posición relativa del frente para el año i; (m)
Ai  es el área que ocupa el frente dentro de la caja para el año i; (m2)
bn es la base fija de la caja; (m)

Para el cálculo del error se utilizó la ecuación 2. Cabe aclarar que el método de caja curvilínea empleado en este estudio es diferente al utilizado en Lea (2018) en aquellos casos donde el ancho de la caja excede el del glaciar. Lea (2018), “cierra” la caja a partir de los límites del frente, en línea recta hacia los bordes; en cambio, en este estudio, se consideró el área que ocupa el frente y se simplificó a un rectángulo de área equivalente.

El método de caja variable es similar al de caja curvilínea, solo que en este caso el ancho de la caja varía de acuerdo con la amplitud del frente para cada año (Fig. 2C). La amplitud de la caja está determinada por la distancia que existe entre el nodo inicial y terminal de la línea del frente; por lo tanto, la caja se “ajusta” a medida que varía el ancho del glaciar. Para este método se empleó el software MaQiT. A diferencia de los otros procedimientos, se utilizó un vector de línea que solo contiene información del frente del glaciar (i.e., no incluye los márgenes laterales), debido a los requerimientos del modelo (Lea, 2018). Se usó la ecuación 2 para el cálculo del error.

Finalmente, el método de multilínea utiliza una serie de líneas paralelas a la del flujo central para calcular la variación de la posición del frente (Fig. 2D). A diferencia del método de línea central de flujo, el de multilínea permite capturar las irregularidades a lo ancho del frente. Se generó el vector de multilíneas a partir de un arreglo de líneas paralelas utilizando el vector de línea central de flujo, fijando una distancia de 30 m entre sí (resolución espacial de las imágenes Landsat). Para calcular la posición del frente se obtuvo la intersección entre el vector de multilínea y los límites del glaciar, y se calculó la longitud para cada línea y cada año. Por último, se estimó la posición media del frente y su desviación estándar para cada año. Para corroborar que el valor medio de las líneas sea representativo estadísticamente, se generaron histogramas para conocer la distribución de los datos. Para cuantificar el error del método se consideraron los errores de cartografía y la desviación estándar para cada año. Dado que se consideran errores independientes entre sí, se utilizaron como parámetros de entrada para calcular el error cartográfico total (ecuación 2).

4. Resultados

4.1. Registros históricos del glaciar Alerce

Se georreferenció el mapa de las fluctuaciones del frente (Fig. 3A) con un RMS de 21 m. A pesar de la limitada cantidad de puntos de control (n=20), se obtuvo un buen ajuste entre los bordes del lago y los ríos mapeados (Fig. 3B). Según la información disponible en el mapa, la posición del frente para el año 1953 se encontraba a una distancia de ~305 m respecto al punto de referencia, mientras que la medida en el mapa digitalizado fue de 307 m (Fig. 3C). Por último, la diferencia entre las longitudes de la escala gráfica del mapa y la escala del mapa georreferenciado fue de 0,7 m (Fig. 3D).

 

fig.3

FIG. 3. A. Mapa georreferenciado donde se observan las diferentes posiciones del frente del glaciar Alerce entre los años 1953 y 1983. El mapa está transparentado sobre una imagen Pléiades del año 2019. En las figuras laterales se esquematizan los criterios de evaluación de la georreferenciación. B. Diferencia entre los márgenes del río y del lago. C. Distancia entre el punto de referencia y el frente de 1953. D. Diferencia entre las longitudes de escala del mapa y el mapa georreferenciado. Fuente: Documentos inéditos del IANIGLA. 

 

Se replicaron las fotografías históricas del frente del glaciar publicadas en Rabassa et al. (1978). En la figura 4, se observa la comparación del frente del Alerce para el año 1977 y el año 2020, tomadas desde la naciente del río homónimo. Es posible observar que en 1977 el glaciar formaba una lengua de hielo que descendía por el valle hasta el lago, mientras que en el año 2020 el frente se ubica en el filo del acantilado. Desde una vista lateral (Fig. 5) el cambio en la extensión del glaciar es más evidente.

fig.4

FIG 4. Fotografías del frente del glaciar Alerce desde la perspectiva del lago homónimo. Vista al noroeste. Fotografías: S. Rubulis (1977) y J.C. Ghilardi Truffa (2020).

 

fig.5

FIG. 5. Fotografías del frente del glaciar Alerce desde la perspectiva del margen sur. Vista al este. Fotografías: S. Rubulis (1977) y J.C. Ghilardi Truffa (2020).

 

4.2. Cambios de área del glaciar Alerce

En total, se generaron 37 mapas del glaciar Alerce entre los años 1953 y 2020 (Fig. 6). El error estimado en el área del glaciar es de 0,07 y 0,09 km2 para los mapas realizados sobre la base de imágenes satelitales y aquellos asociados a la información en el mapa digitalizado, respectivamente.

fig.6

FIG. 6. Extensión del glaciar Alerce para el período 1953-2020. La imagen de fondo corresponde a una escena Pléiades del año 2019.

 

Desde el año 1953 hasta el año 2020, el glaciar Alerce perdió el 35% de su superficie. Esto corresponde a una pérdida de 1,1±0,1 km2 de área glaciar, a una tasa promedio de -0,017±0,001 km2 a-1 (Fig. 7). No obstante, la tasa de cambio de área a lo largo del tiempo no ha sido homogénea, distinguiéndose cinco períodos: i) 1953-1976; ii) 1977-1983; iii) 1984-1999; iv) 2000-2009; y v) 2010-2020.

fig.7

FIG. 7. Cambios en el área del glaciar Alerce (línea azul). Las barras verticales representan el error asociado a la georreferenciación y mapeo (ver Materiales y métodos). El color de los marcadores indica la fuente de información utilizada en la digitalización: según el mapa (violeta), fotografía aérea (rojo) o imagen satelital (verde). El sombreado azul/morado de fondo señala la tasa de variación del área. Los colores del fondo muestran los cinco períodos identificados de acuerdo con las tasas de cambio de área promedio: en celeste, tasas de cambio bajas (-0,005<x<0,005 km2a-1), en amarillo, medias (0,005<x<0,01 km2a-1 y -0,01<x<-0,005 km2a-1) y en rosado, altas (x>0,01 km2a-1 y x<-0,01 km2a-1). 

 

Durante el primer período (1953-1976) se observa una mínima pérdida de área. Entre 1977 y 1983 (segundo período), se registra una tasa mayormente neutra con una leve tendencia positiva. Los cambios en el área del glaciar entre los años 1953 y 1976 (Fig. 7) se encuentran dentro del margen de error de las mediciones (0,09 km2), por lo que no se consideran como cambios significativos. Cabe aclarar, no obstante, que las evaluaciones de cambios del área del glaciar Alerce entre los años 1953 y 1983 tienen mayor incertidumbre por la falta de información en la parte superior del glaciar. A su vez, la resolución temporal para estos períodos es baja, en particular para el primero de ellos.

Entre los años 1984 y 1999 (tercer período), hay un fuerte aumento en la tasa de pérdida de área (3 veces mayor al promedio) (Fig. 7). En la mejor imagen disponible para 1998 se observa nieve estacional en los márgenes del glaciar, lo cual puede generar una sobrestimación del área y de la variación entre 1998 y 1999, por lo que no se tuvo en cuenta el dato del año 1998.

A partir del año 2000 comienza otro período de estabilidad (cuarto período). En particular, entre el 2000 y 2004 se observa un incremento de la superficie del glaciar, seguido de una alternancia de pérdida y ganancia hasta el 2009.

Entre los años 2010 y 2020 (quinto período) hay una disminución del área (Fig. 7). En esta última etapa, se observa una alternancia de años de pérdida y estabilidad hasta el 2014, seguidos de una disminución de superficie a tasas relativamente altas hasta el 2017. Por último, entre 2017 y 2020 hay una disminución en la tasa de cambio del área del glaciar Alerce.

4.3. Cambios de longitud del glaciar Alerce

En función de los resultados de caja variable, el glaciar Alerce perdió el 67% de su longitud total en los últimos 70 años (Fig. 8). El retroceso de la posición del frente fue de 1.492±40 m entre los años 1953 y 2020, a una tasa promedio de 22,2±0,5 ma-1. Se identificaron períodos con tasas de cambio diferentes, coincidentes con los reconocidos en el cambio de área (ver sección 4.2).

fig.8

FIG. 8. Cambios en la posición del frente del glaciar Alerce según el método de caja variable (línea verde). Las barras representan el error asociado a la georreferenciación y al mapeo (ver Materiales y métodos). El color de los marcadores indica la fuente de información utilizada en la digitalización: mapa (violeta), fotografía aérea (rojo) o imagen satelital (verde). El sombreado verde de fondo muestra la tasa de variación de longitud. Los colores del fondo señalan los cinco períodos identificados de acuerdo con las tasas de cambio de longitud promedio: en celeste, tasas de cambio bajas (-8<x<8 ma-1), en amarillo, medias (8<x<20 ma-1 y -20<x<-8 ma-1) y en rosado, altas (x>20 ma-1 y x<-20 ma-1). 

 

Entre 1953 y 1976 (primer período) el frente del glaciar tuvo un retroceso moderado de 260±30 m, a una tasa de -11,3±0,5 ma-1. Entre 1976 a 1983 (segundo período) hay un período estable, con una tasa de cambio de -6,7±0,5 ma-1. En particular, entre 1976 y 1979 se observa un avance del frente a una tasa de 5±0,5 ma-1.

Entre 1984 y 1999 (tercer período), al igual que lo que sucede con el área, se observa un fuerte retroceso del frente del glaciar a una tasa 2,6 veces mayor al promedio, con valores de hasta -58,7±0,5 ma-1. Particularmente, entre 1987 y 1999 el frente del glaciar retrocedió 806±42 m, lo que representa el 54% de la regresión acumulada entre 1953 y 2020. A su vez, durante este período no se registra para ningún año un avance del frente.

A partir del 2000 (cuarto período), se observan avances y retrocesos alternados, que incluyen una variación de longitud de -49±42 m, a una tasa de cambio media de -5,4±0,5 ma-1. Finalmente, entre 2010 y 2020 (quinto período) hay una retracción sostenida del frente de 87±42 m a una tasa de cambio de longitud de -8,7±0,5 ma-1. Al igual que durante la década de 1990 (tercer período), no se registran avances del frente del glaciar entre 2010 y 2020.

Analizando los cambios de longitud según diversas metodologías (ver sección 3.4) se encuentran diferencias significativas (Figs. 9 y 10). La mayor de ellas está entre los métodos de caja variable y de multilínea (variación acumulada >640 m), donde para el primer método se obtiene una tasa media de retroceso ~2 veces mayor comparada con el segundo.

fig.9

FIG. 9. Cambios en la posición del frente del glaciar Alerce según cada metodología aplicada.

 

fig.10

FIG. 10. Cambios en la posición del frente del glaciar Alerce normalizados según cada metodología aplicada.

 

 

Utilizando el método de línea central de flujo, se obtuvo un patrón de variación similar al calculado mediante el de caja variable, al menos hasta la década del 2000. Para las últimas dos décadas, no obstante, el patrón de variación difiere entre ambos procedimientos. El método de línea central de flujo registra años relativamente estables, con avances marcados para algunos (e.g., 2013, 2019), mientras que el de caja variable muestra una curva más suave, con avances de menores magnitudes, que tienden a decrecer de manera sostenida durante la última década. Incluso hay años en que estos métodos muestran variaciones opuestas (e.g., 2004, 2013).

Por último, los resultados del método de caja curvilínea son sensibles al ancho de la caja. A medida que la caja es más angosta (200 m), el resultado se aproxima a los del método de línea central de flujo. En cambio, a medida que la caja es más ancha (>600 m), el resultado se aproxima a los del método de multilínea. En general, el método de caja curvilínea tiende a subestimar la variación para aquellos años donde el ancho de caja excede el ancho del frente del glaciar.

5. Discusión

5.1. Validación de los cambios de longitud obtenidas a partir del mapa

Las fluctuaciones del frente registradas en el mapa (Figs. 3A y 6) coinciden mejor con los resultados obtenidos a través del método de línea central de flujo (Tabla 2), lo cual es esperable, dado que las metodologías para determinar la posición del frente son similares para ambas técnicas (ver Materiales y métodos). Las diferencias observadas están dentro del error del método. En el caso del mapa, la posición del frente está dada por la distancia en línea recta que existe entre el límite del frente y un punto de referencia arbitrario. Por lo tanto, las diferencias están asociadas al punto donde interseca cada línea con el frente, o bien, por una desigualdad entre la longitud de una línea curva (línea central de flujo) respecto a una línea recta (mapa). A su vez, el hecho de que las variaciones del frente entre ambas metodologías sean similares puede entenderse como resultado de una buena georreferenciación del mapa. Las diferencias en la variación del frente del método de caja variable respecto a los datos del mapa también están dentro del error del método.

5.2. Dificultades para cuantificar las variaciones del frente

La morfología del frente del glaciar Alerce ha sufrido grandes cambios entre los años 1953 y 2020, identificándose dos períodos en su historia reciente (Fig. 11). Entre el año 1953 y hasta finales de la década de 1980, el frente descendía por el valle con un ancho cercano a los 200 m. Durante todo este período puede considerarse un glaciar de valle. Sin embargo, posteriormente el frente del glaciar se retrae a alturas mayores (Fig. 11) y el ancho aumenta hasta 4 veces (~800-900 m) generando un frente sinuoso. Desde entonces, el glaciar Alerce puede clasificarse como un glaciar de montaña sin una lengua definida. 

fig.11

FIG. 11. Cambios en la morfología del frente del glaciar Alerce entre los años 1953 y 2020. En 1953 tenía una lengua bien definida con un ancho de ~100 m, sin desarrollo de un lago proglaciar. En 1970, todavía mantenía una lengua bien definida, pero de un ancho mayor (~250 m), además de un incipiente lago proglaciar. En el año 2000, el glaciar cambió su morfología, debido a la pérdida de su lengua, lo que generó un frente sinuoso con un ancho de ~880 m. Para el año 2020, el ancho del frente es de ~785 m y presenta una menor diferencia entre los márgenes y la zona central.

 

Los cambios en la morfología del glaciar influyen en el ancho del frente y permiten explicar las diferencias en los resultados de los diferentes métodos. El método de línea central de flujo es una buena aproximación para determinar la variación de longitud cuando los glaciares tienen una lengua definida y un frente regular (Lea et al., 2014). Sin embargo, cuando el frente es sinuoso, los resultados obtenidos mediante ese método pierden representatividad. En particular, en el glaciar Alerce, desde el año 2000, el frente se vuelve muy sinuoso debido a lo accidentado del terreno, dado que su parte central atraviesa una zona con un cambio de pendiente mayor que hacia los bordes. Entonces, la posición del frente en la parte central está controlada por la topografía, mientras que hacia los bordes puede generar pequeñas lenguas que fluctúan de acuerdo con los cambios de masa del glaciar (Fig. 11).

Por otro lado, el método de caja curvilínea es muy sensible al ancho de caja utilizado. A medida que el ancho de caja aumenta, los resultados se asemejan más a los patrones observados en el cambio de área; sin embargo, también disminuye el cambio total de longitud. Por el contrario, a medida que disminuye el ancho de caja, los resultados se aproximan al método de línea central de flujo y se pierde sensibilidad de cambio para las últimas décadas. Por lo tanto, el método de caja curvilínea no es una buena alternativa para el glaciar Alerce durante la totalidad del período de análisis.

El método de multilínea es sensible a las variaciones de las últimas dos décadas, pero presenta la mayor subestimación en el cambio acumulado del frente. Analizando los cambios de longitud en las diferentes líneas y el valor promedio para cada año, se aprecia que dicho valor no es representativo de los cambios observados mediante otras técnicas. Para 14 de los 36 años estudiados, las variaciones de longitud de las multilíneas tienen distribuciones bimodales, por lo tanto, el promedio de los valores no es representativo de los cambios observados.

A pesar de las diferencias en el cambio de longitud total entre los métodos empleados, el patrón de cambio no varía sustancialmente entre las metodologías hasta fines de la década de 1990 (Fig. 10). Los métodos que consideran una parte más reducida del frente no muestran variaciones en las últimas dos décadas. En cambio, aquellos que abarcan mayor amplitud del frente exhiben un patrón de variabilidad interanual similar a lo que se observa en los cambios de área.

Las características topográficas del terreno generan una gran dificultad para determinar la posición precisa del frente. Cuando el terreno es irregular, el frente del glaciar también lo es. A partir de la década del 2000, el frente del glaciar se vuelve sinuoso debido a lo accidentado del terreno, con diferencias en el largo de hasta ~250 m entre los márgenes y el centro (Fig. 11). En esa década, pasa de estar apoyado sobre afloramientos de rocas graníticas relativamente regulares y de poca pendiente en el fondo del valle, a rocas volcánicas de superficie irregular hacia la parte superior del valle, donde la pendiente es mayor (Figs. 4 y 5).

Debido a los cambios en la morfología del glaciar, que influyen en el ancho y la sinuosidad del frente, es necesario utilizar una metodología que capture estas características. El método de caja variable es el único que contempla ambas particularidades. Este método refleja a grandes rasgos un patrón similar al obtenido por el de línea central de flujo, con la ventaja de que también puede captar las variaciones del frente para las últimas dos décadas (Fig. 8). A su vez, los patrones de cambio (períodos de avance o retroceso) son similares a los observados al analizar el cambio de área (Fig. 7).

5.3. Variaciones en la relación de longitud y área del glaciar Alerce

Debido a las variaciones morfológicas del glaciar, la relación entre la longitud y el área también cambia a lo largo del tiempo (Fig. 12). Mientras el glaciar Alerce fue un glaciar de valle (entre los años 1953 y ~1980), la relación entre el cambio de área y el de longitud fue entre 3 y 6 veces menor que cuando se transforma a un glaciar de montaña (desde el año ~1980 en adelante), según los métodos de caja variable y de línea central de flujo, respectivamente. El primero tiene la mejor correlación entre cambios de área y longitud, tanto cuando el glaciar Alerce fue un glaciar de valle (R2=0,84) como cuando se convierte en un glaciar de montaña (R2=0,90). Sin embargo, no sucede lo mismo con el segundo método. Cuando el glaciar tiene una morfología de valle, la correlación entre los cambios de área y longitud es buena (R2=0,87), mientras que cuando tiene una morfología de montaña, la correlación ya no lo es (R2=0,41).

fig.12

FIG. 12. Relación entre área y longitud del glaciar Alerce, según los métodos de línea central de flujo (círculos y rombos amarillos) y de caja variable (círculos y rombos verdes), para el período de tiempo en que correspondía a un glaciar de valle (1953-~1980; rombos) y para cuando pasa a ser un glaciar de montaña (~1980-2020; círculos). Las líneas de tendencia son regresiones lineales. El color del rectángulo que engloba los valores de R2 se corresponde con el color de la serie a la cual pertenece.

 

Para los métodos de multilínea y de caja variable, los valores de longitud son dependientes del área del glaciar, y por lo tanto no se analizaron las relaciones entre cambios de longitud y área para ambos métodos. De todos los métodos analizados, el de caja variable es el único que permite capturar potenciales cambios en la relación longitud-área para el glaciar Alerce a lo largo del período estudiado. Por lo anterior, con este método es posible realizar estimaciones de área, y por consiguiente de volumen (Zorzut et al., 2020), utilizando únicamente los datos de posición del frente. Además, es posible ajustar estas estimaciones según la morfología del glaciar.

5.4. Cambios del glaciar Alerce entre los años 1953 y 2021 y su relación con otros glaciares de la región

Desde el año 1953 hasta el año 2020, el glaciar Alerce perdió el 35% de su superficie y un 67% de su longitud total. Su retracción fue más acentuada durante las décadas de 1980 y 1990, cuando el frente atravesaba una zona de alta pendiente (Fig. 13). Durante estas dos décadas el frente ascendió ~320 m, lo cual representa el 79% de variación altitudinal total.

fig.13

FIG. 13. Variación altimétrica de la posición del frente del glaciar Alerce para el período 1953-2020. Topografía: DEM SRTM-4.

 

 

Durante las décadas de 1950 y 1960, el glaciar Alerce evidencia un retroceso sostenido (Fig. 8). Los cambios observados coinciden con las tendencias de los glaciares Frías y Esperanza Norte (Leclercq et al., 2012; Ruiz et al., 2012) (Fig. 14C). A partir de la década de 1970, en el glaciar Alerce se registra un período de estabilidad, con avances y retrocesos que se encuentran dentro del margen de error (Fig. 8). En particular, entre los años 1976 y 1979, se observa un período de avance del glaciar. Aunque de menor magnitud y duración, este período coincide con el reavance de los glaciares Frías y Esperanza Norte (Leclercq et al., 2012; Ruiz et al., 2012). Este hecho ocurre, a su vez, durante un período de temperaturas relativamente más frías y precipitaciones más elevadas (Ruiz et al., 2017) (Fig. 14A y B). Es probable que la presencia del lago proglacial durante este período (Fig. 11) haya condicionado el avance del glaciar Alerce. Se sugiere que este glaciar no tuvo el tiempo necesario como para formar un banco de sedimentos lo suficientemente extenso como para avanzar con la misma magnitud que otros glaciares de la zona.

fig.14

FIG. 14. A. Anomalías de temperatura para los meses de verano (octubre a marzo) derivadas de seis estaciones meteorológicas ubicadas en Patagonia norte. Se muestra la media móvil de 5 años (línea negra) y las anomalías en rojo y azul si están por encima o por debajo de la media para el período de referencia (~0° C), respectivamente. B. Igual que A, pero las anomalías de precipitación van de abril a marzo y los colores se presentan en rojo y azul, si están por debajo o por encima de la media para el período de referencia, respectivamente. C. Cambios de longitud normalizados de los glaciares Esperanza Norte (rojo), Frías (azul) y Alerce (verde). Fuente: modificado de Ruiz et al. (2017).

 

Luego del período de estabilidad de la década de 1970 se observa, al igual que en el resto de los glaciares de la región, un marcado retroceso en las décadas posteriores (1980-1990) (Fig. 14C). Este período coincide con un aumento de la temperatura y una disminución de la precipitación (Bown González, 2004; Rivera et al., 2005; Masiokas et al., 2008; Leclercq et al., 2012; Paul y Mölg, 2014; Ruiz et al., 2017; Dussaillant et al., 2019) (Figs. 14A y B).

A partir de la década de 2000, y al igual que lo observado para otros glaciares de la región (Leclercq et al., 2012; Ruiz et al., 2012), el glaciar Alerce se mantiene estable durante ~9 años. El aumento en las tasas de retroceso a partir del año 2009 probablemente está asociado a la megasequía observada durante la última década en la región (Rivera et al., 2017; Garreaud et al., 2020). También durante este período se produjeron importantes erupciones volcánicas que han influenciado negativamente el balance de masa a través de una disminución del albedo (Gelman Constantin et al., 2020). Finalmente, entre los años 2000 y 2020, los cambios en longitud y área del glaciar Alerce coinciden con las tendencias observadas en el balance de masa para los glaciares de Patagonia norte (Dussaillant et al., 2019; Hugonnet et al., 2021).

6. Conclusiones

En el presente estudio se realizó la reconstrucción de longitud y área del glaciar Alerce (Patagonia norte, Argentina) entre los años 1953 y 2020. Para esto, se digitalizó un mapa con las posiciones del frente (1953-1983) de este glaciar y se actualizaron antiguas fotografías. La información recolectada representa un recurso para conocer el pasado reciente del glaciar, lo que puede dar paso a estudios de más detalle que contemplen un mayor número de variables (e.g., cambios de volumen, velocidad y balance de masa).

Para cuantificar las variaciones del frente se evaluaron cuatro metodologías. A lo largo del período analizado el glaciar Alerce tuvo un cambio de morfología (de glaciar de valle a glaciar de montaña) el cual solo es posible de modelar a través del método de caja variable.

Los cambios en el área y la posición del frente evidencian un marcado retroceso entre 1953 y 2020. El glaciar perdió un 1,1±0,1 km2 de su superficie (35%) y alcanzó un retroceso acumulado de 1.492±40 m (67%). A su vez, fue posible distinguir diferentes patrones de cambio a lo largo del tiempo. En primera instancia se observa una etapa de retroceso (1953-1976), seguida de un período de estabilidad (1977-1983), luego un retroceso mayor (1984-1999), otro período estable (2000-2009), y finalmente un nuevo período de retroceso hasta el año 2020. Sus tasas de retroceso coinciden con las observadas en otros glaciares de la región, lo cual puede representar una señal climática regional.

Agradecimientos
Queremos agradecer el apoyo del Ministerio de Ambiente y Desarrollo Sustentable (MAyDS) y del Consejo de Investigaciones Científicas y Técnicas (CONICET) al Inventario Nacional de Glaciares. Agradecemos a M. Benedicto por su aporte en la revisión de series climáticas. L. Ruiz agradece al programa ECOS-Sud (PA17A02 Glacier and rock glacier responses to climate change in the Andes. Las imágenes Pléiades fueron provistas sin costo por Airbus Defense and Space a través del Pléiades User Group. La Administración de Parques Nacionales proveyó el acceso y apoyo logístico durante los trabajos de campo. Este último también se vio facilitado por la hospitalidad de N. Betinelli y el staff del Refugio Otto Meiling y de T. Villafañe y el staff del Camping Los Vuriloches. Agradecemos a D. Bertin, R. Soteres y a dos evaluadores anónimos por sus valiosos comentarios.
Los mapas del glaciar Alerce entre 1953 y 2020 junto con los datos climáticos regionales de Patagonia norte y las series de los glaciares Esperanza Norte y Frías, están disponibles en Git Hub (https://github.com/JuanCruzGh/AlerceFluctuations/tree/main). Las series de variaciones de longitud y área del glaciar Alerce están disponibles en el World Glacier Monitoring Service (WGMS).

 

Referencias

Anderson, R.S.; Anderson, S.P. 2010. Geomorphology: The Mechanics and Chemistry of Landscapes. Cambridge University Press: 655 p.

Araneda, A.; Torrejón, F.; Aguayo, M.; Alvial, I.; Mendoza, C.; Urrutia, R. 2009. Historical records of Cipreses glacier (34°S): combining documentary-inferred ‘Little Ice Age’ evidence from Southern and Central Chile. The Holocene 19 (8): 1173-1183.

Arendt, A.; Walsh, J.; Harrison, W. 2009. Changes of Glaciers and Climate in Northwestern North America during the Late Twentieth Century. Journal of Climate 22 (15): 4117-4134.

Barcaza, G.; Nussbaumer, S.U.; Tapia, G.; Valdés, J.; García, J.-L.; Videla, Y.; Albornoz, A.; Arias, V. 2017. Glacier inventory and recent glacier variations in the Andes of Chile, South America. Annals of Glaciology 58 (75pt2): 166-180.

Bown González, F. 2004. Cambios climáticos en la región de Los Lagos y respuestas recientes del Glaciar Casa Pangue (41°08’S). Memoria de Título (Unpublished), Universidad de Chile, Departamento de Geografía: 131 p.

Carrasco, J.F.; Osorio, R.; Casassa, G. 2008. Secular trend of the equilibrium-line altitude on the western side of the southern Andes, derived from radiosonde and surface observations. Journal of Glaciology 54 (186): 538-550.

Cogley, J.G.; Hock, R.; Rasmussen, L.A.; Arendt, A.A.; Bauder, A.; Braithwaite, R.J.; Jansson, P.; Kaser, G.; Möller, M.; Nicholson, L.; Zemp, M. 2011. Glossary of glacier mass balance and related terms. IHP-VII Technical Documents in Hydrology 86: 114 p. https://wgms.ch/downloads/Cogley_etal_2011.pdf

Colgan, W.; Rajaram, H.; Abdalati, W.; McCutchan, C.; Mottram, R.; Moussavi, M.S.; Grigsby, S. 2016. Glacier crevasses: Observations, models, and mass balance implications: Glacier Crevasses. Reviews of Geophysics 54 (1): 119-161.

Cuffey, K.M.; Paterson, W.S.B. 2010. The Physics of Glaciers. Academic Press: 721 p.

Dussaillant, I.; Berthier, E.; Brun, F.; Masiokas, M.; Hugonnet, R.; Favier, V.; Rabatel, A.; Pitte, P.; Ruiz, L. 2019. Two decades of glacier mass loss along the Andes. Nature Geoscience 12 (10): 802-808.

Espizua, L.E.; Pitte, P. 2009. The Little Ice Age glacier advance in the Central Andes (35°S), Argentina. Palaeogeography, Palaeoclimatology, Palaeoecology 281 (3): 345-350.

Frey, H.; Haeberli, W.; Linsbauer, A.; Huggel, C.; Paul, F. 2010. A multi-level strategy for anticipating future glacier lake formation and associated hazard potentials. Natural Hazards and Earth System Sciences 10 (2): 339-352.

Garreaud, R.D.; Boisier, J.P.; Rondanelli, R.; Montecinos, A.; Sepúlveda, H.H.; Veloso-Águila, D. 2020. The Central Chile Mega Drought (2010-2018): A climate dynamics perspective. International Journal of Climatology 40 (1): 421-439.

Gelman Constantin, J.; Ruiz, L.; Villarosa, G.; Outes, V.; Bajano, F.N.; He, C.; Bajano, H.; Dawidowski, L. 2020. Measurements and modeling of snow albedo at Alerce Glacier, Argentina: effects of volcanic ash, snow grain size, and cloudiness. The Cryosphere 14 (12): 4581-4601.

Hall, D.K.; Bayr, K.J.; Schöner, W.; Bindschadler, R.A.; Chien, J.Y.L. 2003. Consideration of the errors inherent in mapping historical glacier positions in Austria from the ground and space (1893-2001). Remote Sensing of Environment 86 (4): 566-577.

Hugonnet, R.; McNabb, R.; Berthier, E.; Menounos, B.; Nuth, C.; Girod, L.; Farinotti, D.; Huss, M.; Dussaillant, I.; Brun, F.; Kääb, A. 2021. Accelerated global glacier mass loss in the early twenty-first century. Nature 592 (7856): 726-731.

IPCC. 2021. Climate Change 2021: The Physical Science Basis. Contribution of Working Group I to the Sixth Assessment Report of the Intergovernmental Panel on Climate Change. (Masson-Delmotte, V.; Zhai, P.; Pirani, A.; Connors, S.L.; Péan, C.; Berger, S.; Caud, N.; Chen, Y.; Goldfarb, L.; Gomis, M.I.; Huang, M.; Leitzell, K.; Lonnoy, E.; Matthews, J.B.R.; Maycock, T.K.; Waterfield, T.; Yelekçi, Ö.; Yu, R.; Zhou, B.; editores). Cambridge University Press, Cambridge: 33-144. United Kingdom and New York. doi: https://doi.org/10.1017/9781009157896.002

James, W.H.M.; Carrivick, J.L. 2016. Automated modelling of spatially-distributed glacier ice thickness and volume. Computers and Geosciences 92: 90-103.

Lea, J.M. 2018. The Google Earth Engine Digitisation Tool (GEEDiT) and the Margin change Quantification Tool (MaQiT) - simple tools for the rapid mapping and quantification of changing Earth surface margins. Earth Surface Dynamics 6 (3): 551-561.

Lea, J.M.; Mair, D.W.F.; Rea, B.R. 2014. Evaluation of existing and new methods of tracking glacier terminus change. Journal of Glaciology 60 (220): 323-332.

Leclercq, P.W.; Pitte, P.; Giesen, R.H.; Masiokas, M.H.; Oerlemans, J. 2012. Modelling and climatic interpretation of the length fluctuations of Glaciar Frías (north Patagonian Andes, Argentina) 1639-2009 AD. Climate of the Past 8 (5): 1385-1402.

Lenaerts, J.T.M.; Broeke, M.R. van den; Wessem, J.M. van; Berg, W.J. van de; Meijgaard, E. van; Ulft, L.H. van; Schaefer, M. 2014. Extreme Precipitation and Climate Gradients in Patagonia Revealed by High-Resolution Regional Atmospheric Climate Modeling. Journal of Climate 27 (12): 4607-4621.

Lliboutry. 1998. Glaciers of South America: Satellite Image Atlas of Glaciers of the World. U.S. Government Printing Office: 244 p.

Loriaux, T.; Ruiz, L. 2021. Spatio-Temporal Distribution of Supra-Glacial Ponds and Ice Cliffs on Verde Glacier, Chile. Frontiers in Earth Science 9: 681071.

Masiokas, M.H.; Villalba, R.; Luckman, B.H.; Lascano, M.E.; Delgado, S.; Stepanek, P. 2008. 20th-century glacier recession and regional hydroclimatic changes in northwestern Patagonia. Global and Planetary Change 60 (1-2): 85-100. doi: https://doi.org/10.1016/j.gloplacha.2006.07.031

Masiokas, M.H.; Delgado, S.; Pitte, P., Berthier, E., Villalba, R.; Skvarca, P.; Ruiz, L.; Ukita, J.; Yamanokuchi, T.; Tadono, T.; Marinsek, S.; Couvreux, F.; Zalazar, L. 2015. Inventory and recent changes of small glaciers on the northeast margin of the Southern Patagonia Icefield, Argentina. Journal of Glaciology, 61(227), 511-523. doi. https://doi.org/10.3189/2015JoG14J094

Masiokas, M.H.; Rabatel, A.; Rivera, A.; Ruiz, L.; Pitte, P.; Ceballos, J.L.; Barcaza, G.; Soruco, A.; Bown, F.; Berthier, E.; Dussaillant, I.; MacDonell, S. 2020. A Review of the Current State and Recent Changes of the Andean Cryosphere. Frontiers in Earth Science 8: 99 p.

Meier, M.F.; Post, A. 1987. Fast tidewater glaciers. Journal of Geophysical Research: Solid Earth 92 (B9): 9051-9058.

Nussbaumer, S.U.; Nesje, A.; Zumbühl, H.J. 2011. Historical glacier fluctuations of Jostedalsbreen and Folgefonna (southern Norway) reassessed by new pictorial and written evidence. The Holocene 21 (3): 455-471.

Oerlemans, J. 2001. Glaciers and Climate Change. CRC Press: 168 p.

Paul, F.; Andreassen, L.M. 2009. A new glacier inventory for the Svartisen region, Norway, from Landsat ETM+ data: challenges and change assessment. Journal of Glaciology 55 (192): 607-618.

Paul, F.; Mölg, N. 2014. Hasty retreat of glaciers in northern Patagonia from 1985 to 2011. Journal of Glaciology 60 (224): 1033-1043.

Paul, F.; Kääb, A.; Haeberli, W. 2007. Recent glacier changes in the Alps observed by satellite: Consequences for future monitoring strategies. Global and Planetary Change 56 (1): 111-122.

Post, A.; LaChapelle, E.R. 2000. Glacier ice. Revised edition. University of Washington Press: 145 p. Seattle, WA.

Rabassa, J.; Rubulis, S.; Suárez, J. 1978. Los glaciares del monte Tronador, Parque Nacional de Nahuel Huapi (Río Negro, Argentina). Anales de Parques Nacionales. 14: 259-318.

Rivera, A.; Acuña, C.; Casassa, G.; Bown, F. 2002. Use of remotely sensed and field data to estimate the contribution of Chilean glaciers to eustatic sea-level rise. Annals of Glaciology 34: 367-372.

Rivera, A.; Bown, F.; Casassa, G.; Acuña, C.; Clavero, J. 2005. Glacier shrinkage and negative mass balance in the Chilean Lake District (40°S) / Rétrécissement glaciaire et bilan massique négatif dans la Région des Lacs du Chili (40°S). Hydrological Sciences Journal: 50 (6): 963-974.

Rivera, J.A.; Penalba, O.C.; Villalba, R.; Araneo, D.C. 2017. Spatio-Temporal Patterns of the 2010-2015 Extreme Hydrological Drought across the Central Andes, Argentina. Water 9 (9): 652 p.

Ruiz, L.; Masiokas, M.H.; Villalba, R. 2012. Fluctuations of Glaciar Esperanza Norte in the north Patagonian Andes of Argentina during the past 400 yr. Climate of the Past 8 (3): 1079-1090.

Ruiz, L.; Berthier, E.; Masiokas, M.; Pitte, P.; Villalba, R. 2015. First surface velocity maps for glaciers of Monte Tronador, North Patagonian Andes, derived from sequential Pléiades satellite images. Journal of Glaciology 61 (229): 908-922.

Ruiz, L.; Berthier, E.; Viale, M.; Pitte, P.; Masiokas, M.H. 2017. Recent geodetic mass balance of Monte Tronador glaciers, northern Patagonian Andes. The Cryosphere 11 (1): 619-634.

Sagredo, E.A.; Lowell, T.V. 2012. Climatology of Andean glaciers: A framework to understand glacier response to climate change. Global and Planetary Change 86-87: 101-109.

Schoolmeester, T.; Johansen, K.S.; Alfthan, B.; Baker, B.; Hesping, M.; Verbist, K. 2018. El Atlas de Glaciares y Aguas Andinos: el impacto del retroceso de los glaciares sobre los recursos hídricos-UNESCO Biblioteca Digital. https://unesdoc.unesco.org/ark:/48223/pf0000266209

Viale, M.; Garreaud, R. 2015. Orographic effects of the subtropical and extratropical Andes on upwind precipitating clouds. Journal of Geophysical Research: Atmospheres 120 (10): 4962-4974.

Villalba, R.; Boninsegna, J.A.; Veblen, T.T.; Schmelter, A.; Rubulis, S. 1997. Recent Trends in Tree-Ring Records from High Elevation Sites in the Andes of Northern Patagonia. In Climatic Change at High Elevation Sites (Díaz, H.F.; Beniston, M.; Bradley, R.S.; editors). Springer Netherlands: 193-222. Dordrecht.

WGMS. 2021. Global Glacier Change Bulletin No. 4 (2018-2019). ISC(WDS)/IUGG(IACS)/UNEP/UNESCO/WMO (Zemp, M.; Nussbaumer, S.U.; GärtnerRoer, I.; Bannwart, J.; Paul, F.; Hoelzle, M.; editors), World Glacier Monitoring Service, Zurich: 278 p. Switzerland. doi: https://doi.org/10.5904/wgms-fog-2021-05

Wulder, M.A.; Ortlepp, S.M.; White, J.C.; Maxwell, S. 2008. Evaluation of Landsat-7 SLC-off image products for forest change detection. Canadian Journal of Remote Sensing 34 (2): 93-99.

Wulder, M.A.; Loveland, T.R.; Roy, D.P.; Crawford, C.J.; Masek, J.G.; Woodcock, C.E.; Allen, R.G.; Anderson, M.C.; Belward, A.S.; Cohen, W.B.; Dwyer, J.; Erb, A.; Gao, F.; Griffiths, P.; Helder, D.; Hermosilla, T.; Hipple, J.D.; Hostert, P.; Hughes, M.J.; Huntington, J.; Johnson, D.M.; Kennedy, R.; Kilic, A.; Li, Z.; Lymburner, L.; McCorkel, J.; Pahlevan, N.; Scambos, T.A.; Schaaf, C.; Schott, J.R.; Sheng, Y.; Storey, J.; Vermote, E.; Vogelmann, J.; White, J.C.; Wynne, R.H.; Zhu, Z. 2019. Current status of Landsat program, science, and applications. Remote Sensing of Environment 225: 127-147.

Zalazar, L.; Ferri, L.; Castro, M.; Gargantini, H.; Giménez, M.; Pitte, P.; Ruiz, L.; Masiokas, M.; Costa, G.; Villalba, R. 2020. Spatial distribution and characteristics of Andean ice masses in Argentina: results from the first National Glacier Inventory. Journal of Glaciology 66 (260): 938-949.

Zemp, M.; Roer, I.; Kääb, A.; Hoelzle, M.; Paul, F.; Haeberli, W. 2008. WGMS (2008): global glacier changes: facts and figures. doi: https://doi.org/10.5167/uzh-4173

Zemp, M.; Frey, H.; Gärtner-Roer, I.; Nussbaumer, S.U.; Hoelzle, M.; Paul, F.; Haeberli, W.; Denzinger, F.; Ahlstrøm, A.P.; Anderson, B.; Bajracharya, S.; Baroni, C.; Braun, L.N.; Cáceres, B.E.; Casassa, G.; Cobos, G.; Dávila, L.R.; Delgado Granados, H.; Demuth, M.N.; Espizua, L.; Fischer, A.; Fujita, K.; Gadek, B.; Ghazanfar, A.; Ove Hagen, J.; Holmlund, P.; Karimi, N.; Li, Z.; Pelto, M.; Pitte, P.; Popovnin, V.V.; Portocarrero, C.A.; Prinz, R.; Sangewar, C.V.; Severskiy, I.; Sigurđsson, O.; Soruco, A.; Usubaliev, R.; Vincent, C. 2015. Historically unprecedented global glacier decline in the early 21st century. Journal of Glaciology 61 (228): 745-762.

Zemp, M.; Huss, M.; Thibert, E.; Eckert, N.; McNabb, R.; Huber, J.; Barandun, M.; Machguth, H.; Nussbaumer, S.U.; Gärtner-Roer, I.; Thomson, L.; Paul, F.; Maussion, F.; Kutuzov, S.; Cogley, J.G. 2019. Global glacier mass changes and their contributions to sea-level rise from 1961 to 2016. Nature 568: 382-386. doi: https://doi.org/10.1038/s41586-019-1071-0

Zorzut, V.; Ruiz, L.; Rivera, A.; Pitte, P.; Villalba, R.; Medrzycka, D. 2020. Slope estimation influences on ice thickness inversion models: a case study for Monte Tronador glaciers, North Patagonian Andes. Journal of Glaciology 66 (260): 996-1005.