Plantilla de artículo 2013
Andean Geology 42 (3): 349-363, September, 2015
Andean Geology
doi: 10.5027/andgeoV42n3-a04
A new Early Jurassic marine locality from southwestern Chubut Basin, Argentina
S. Mariel Ferrari1, Santiago Bessone1

1Centro Nacional Patagónico (CENPAT), Consejo Nacional de Investigaciones Científicas y Técnicas (CONICET), Boulevard A. Brown 2915, Puerto Madryn 9120, Chubut, Argentina.
mferrari@cenpat-conicet.gob.ar; sbessone@cenpat-conicet.gob.ar

* Corresponding author: mferrari@cenpat-conicet.gob.ar

A shallow marine invertebrate association is reported from a new Early Jurassic locality namely La Casilda, which is situated in the southwestern region of the Chubut Basin (Patagonia, Argentina). The marine deposits of La Casilda are located in the Río Genoa valley and bear a diverse invertebrate fauna including bivalves, gastropods, brachiopods, echinoderms and corals. A preliminary taxonomic analysis of the invertebrate fauna suggests that La Casilda deposits belong to the Mulanguiñeu Formation of late Pliensbachian-early Toarcian age, and may be coeval with those from the marine localities previously sampled in other regions of the Río Genoa valley. The preliminary results of a biodiversity analysis displayed that La Casilda is one of the most diverse localities at the Chubut Basin and could be assigned to the biofacies at the mixed siliciclastic-carbonate ramp proposed for the marine Early Jurassic at the Andean Basin of northern Chile. The evolution of the marine transgression during the early Pliensbachian-early Toarcian is also interpreted here in a time scale based on ammonite faunas, giving a preliminary temporal reconstruction of the entire Chubut Basin.

Keywords: Invertebrates, La Casilda, Mulanguiñeu Formation, Chubut Basin, Argentina.

 

abstract

1. Introdution

The first contributions to the paleontological knowledge of Early Jurassic marine invertebrate faunas in the southwestern region of the Chubut Province are those provided by Feruglio (1934, 1949), Piatnitzky (1936) and Wahnish (1942), who supplied data on the taxonomic composition of Early Jurassic marine invertebrate faunas from the Nueva Lubecka and Río Genoa regions. Particularly, Feruglio (1934) and Wahnish’s (1942) descriptions and illustrations are still used as the main sources of taxonomic data to interpret the Patagonian’s Jurassic marine biota. Bivalves, gastropods, cephalopods, brachiopods and corals were reported by these authors from several localities in the area, including Lomas Occidentales, Cerro La Trampa, Piedra Shotle and Lomas de Betancourt, which have yielded the most important Jurassic fossiliferous beds from the marine Mulanguiñeu Formation (Chubut Province). Another important marine locality was reported at the Early Jurassic of the Osta Arena Formation from the Pampa de Agnia region (central Chubut Province), known as Puesto Currumil (Ferrari, 2009, 2012, 2013; Pagani et al., 2012). Preliminary biostratigraphic analyses carried out in the southern and west-central Chubut Province (Pagani et al., 2012; Ferrari, 2013, 2014a) indicated a late Pliensbachian-early Toarcian age for these deposits. Moreover, Damborenea and Ferrari (2008), Ferrari (2009, 2011a, b, 2012, 2013, 2014a, b), Ferrari et al. (2014) and Pagani et al. (2011, 2012) recently carried out new studies on the taxonomic composition of the faunas in the Early Jurassic of south-western and central Chubut Province, including the investigation of new fossil localities and the collection of Early Jurassic material.

The present paper aims to describe a shallow marine invertebrate association from a new Early Jurassic locality in the southwestern region of the Chubut Province (Patagonia, Argentina), giving a preliminary taxonomic, paleoecological and paleobiogeographical interpretation of the community, and a preliminary temporal reconstruction of the marine transgression at the Chubut Basin during the early Pliensbachian-early Toarcian.

2. Geological Setting

Early Jurassic marine deposits from the Chubut Province are known since the pioneering expeditions of Roth (1908) and Keidel (1917) from the Río Tecka and Nueva Lubecka areas, respectively. The stratigraphy of these deposits has been established by several studies. An updated and detailed historical chronology of the Jurassic stratigraphic sequence of this region in Patagonia was recently provided by Ferrari (2009, 2011a, b, 2013, 2014a) and Pagani et al. (2011).

The Early Jurassic marine sediments in the Chubut Province are exposed along a north-west to south-southeast trend between 42º30’ and 44º30’ S, and 69º30’ and 71º W (Riccardi, 1983; Giacosa and Márquez, 1999). In the southwestern region of the Chubut Province, the Early Jurassic marine deposits crop out in the Río Genoa and Nueva Lubecka areas (Fig. 1) and belong to the Mulanguiñeu Formation (Fernández Garrasino, 1977), originally described by Suero (1952, 1953, 1958) as “Serie marina con Vola y Cardinia”, and considered to have an Early Jurassic (late Pliensbachian-early Toarcian) age based on its marine invertebrate faunas (Fernández Garrasino, 1977). The sediments of the Mulanguiñeu Formation lay unconformably over late Palaeozoic rocks belonging to the Río Genoa Formation (Tepuel Group). In the Pampa de Agnia area, the most extensive outcrops of the Osta Arena Formation, a partial equivalent of the Mulanguiñeu Formation, are on the western slope of sierras de Lonco Trapial, Cajón de Ginebra and Cerro Negro. This formation has an early Toarcian age based on hildoceratid ammonoids (Musacchio and Riccardi, 1971; Blasco et al., 1980; Ferrari, 2009).

The invertebrate association here described comes from La Casilda, a new fossil locality situated in the Río Genoa valley (Fig. 1). La Casilda is located 3.86 km north-east of Estancia La Casilda and 4.75 km north of Piedra Shotle locality, near the old telegraphic station of Nueva Lubecka (Fig. 1). Based on the diversity of the faunas represented in these marine deposits, which includes bivalves, gastropods, echinoderms, brachiopods and corals it is inferred here that the new locality may be coeval with those described by Feruglio (1934, 1949), Piatnitzky (1936) and Wahnish (1942) in other marine outcrops of the Mulanguiñeu Formation.

 

fig.1

 

Fig. 1. A. Map of Patagonia (Argentina) showing Río Genoa region in southwestern Chubut Province; B. Location map of La Casilda fossil locality; C. Estancia La Casilda; D. General view of La Casilda fossil locality; E. Weyla (Weyla) alata angustecostata (Philippi) found at the marine beds of La Casilda.

 

 

3. Materials and Methods

La Casilda locality was first visited in November 2011 and subsequently sampled in February 2014. All the specimens collected there are housed in the Museo Paleontológico “Egidio Feruglio” collection (MPEF-PI), Trelew (Argentina), and were prepared by the technical staff (Tec. Leandro Canessa). The materials were coated with ammonium chloride to enhance sculpture for photography. Photographs were taken with a digital camera at the MEF.

A biodiversity, rarefaction and neighbor joining clustering analyses have been calculated for the marine invertebrate taxa recovered thus far at the Chubut Basin using a statistical software PAST (Hammer et al., 2001).

4. Results

4.1.Taxonomic composition at La Casilda locality

The fossil invertebrate assemblage recovered at La Casilda is dominated by bivalves, gastropods and brachiopods, with several echinoid spines and corals also represented. The sedimentary marine deposits rich in invertebrate faunas are predominantly composed of medium- to coarse-grained and brown- to grey-greenish sandstones. Few specimens were contained within the sedimentary rocks, and most of them were found disperse and scattered through the bearing beds. The specimen preservation reveals a post-mortem transport, showing broken and disarticulated shells, and many specimens remain undetermined. However, a preliminary taxonomic approach of the marine invertebrate association displays the following taxa:

4.1.1. Bivalves

The bivalve fauna recovered at La Casilda is characterized by epibyssates, including Agerchlamys aff. wunschae (Marwick) (Fig. 2A-B), Agerchla-mys sp. (Fig. 2C-D), Pseudolimea sp. (Fig. 2P) and Antiquilima sp. (Fig. 2Q). Shallow burrowers such as Freguelliella aff. inexpectata (Jaworski) (Fig. 2M), Frenguelliella sp. (Fig. 2N-O) and Cucullaea?sp. (Fig. 3A) are also found at the marine deposits in La Casilda. Bivalves with a semi-infaunal reclining mode of life include Weyla (Weyla) alata angustecostata (Philippi) (Fig. 2F-I) and Weyla (W.) bodenbenderi (Behrendsen) (Fig. 2J) as stated by Damborenea and Manceñido (1979) and Damborenea (1987); Gryphaea?sp. (Fig. 3B-D) is also present within the semi-infaunal biota. Particularly, Pseudopecten dentatus (Sowerby) (Fig. 2E) and Kolymonectes sp. (Fig. 2K-L), were byssally attached early in ontogeny, but became free and epifaunal recliners as adults with a limited swimming ability (Damborenea, 2002b).

 

fig.2

 

Fig. 2. A-B. Agerchlamys aff. wunschae (Marwick), MPEF-PI 6001, right valve, external mould; A. Lateral view; B. Detailed of dorsal region; C-D. Agerchlamys sp.; C. MPEF-PI 6003, external mould, lateral view; D. MPEF-PI 6002, right valve, external mould, lateral view; E. Pseudopecten dentatus Sowerby, MPEF-PI 4200, external mould, lateral view; F-I. Weyla (Weyla) alata angustecostata (R. Philippi); F-H. MPEF-PI 6004, left valve; F. Lateral view; G. Dorsal-lateral view; H. Anterior view; I. MPEF-PI 6005, left valve, external view; J. Weyla (Weyla) bodenbenderi (Behrendsen), MPEF-PI 4192, left valve, external view; K-L. Kolymonectes sp., MPEF-PI 5559, external views; M. Frenguelliella aff. inexspectata (Jaworski), MPEF-PI 4199, latex cast, right valve, lateral, external view;  N-O. Frenguelliella sp.; N. MPEF-PI 6006, left valve, external view; O. MPEF-PI 4198, latex cast, right valve, external view; P. Pseudolimea sp., MPEF-PI 5558, negative mould, external view; Q. Antiquilima sp., MPEF-PI 6008, latex cast, right valve, external, lateral view; R-S. Frenguelliellinae gen. et sp. indet., MPEF-PI 4191; R. Steinkern; dorsal, internal view; S. left valve, lateral, internal view.

 

 

4.1.2. Gastropods

The gastropod fauna is represented by small turriteliform (Cryptaulax, Procerithium, Pseudomelania; Fig. 3I-O) to large trochiform and slightly cyrtoconoid (Lithotrochus; Fig. 3E-H) shell shapes. Particularly, members of  Lithotrochus show a change in the translation rate along the coiling axis during ontogeny, which has been interpreted as a change in the organism’s life habit (Damborenea and Ferrari, 2008). Members of Lithotrochus humboldtii (von Buch) (Fig. 3E-H) are well known as grazers inhabiting firm substrates in well-lit and oxygenated waters, and they are also common in sublittoral deposits, associated to a varied benthonic fauna such as the thick-shelled Weyla and Cardinia, and also near coralliferous facies (Damborenea and Ferrari, 2008). Representatives of Procerithiidae (Cryptaulax, Procerithium) as well as members of Pseudomelania, reveal small and turriculate shells forming a very low angle between the coiling axis and the substratum; this feature makes the shell very easy to be transported on consolidated sediments. Members of Cryptaulax damboreneae Ferrari (Fig. 3I-K), Procerithium (Rhabdocolpus) patagoniensis Ferrari (Fig. 3L-M), Procerithium (Infacerithium) cf. nodosum Ferrari (Fig. 3N) and Pseudomelania sp. (Fig. 3O) are frequently found in the Jurassic marine sandstones of the Chubut Province in shallow environments, associated to diverse invertebrate faunas, but rarely mixed with Lithotrochus  (Ferrari, 2012, 2014a).

 

fig.3

 

Fig. 3. A. Cucullaea? sp., MPEF-PI 6007, latex cast, lateral, external view; B-D. Gryphaea? sp., MPEF-PI 4190; B. right valve, lateral view; C. left valve, lateral view; D. left valve, lateraldorsal view; E-H. Lithotrochus humboldtii (von Buch); E-F. MPEF-PI 4188, teleoconch in lateral view; G. MPEF-PI 4186, teleoconch in lateral view; H. MPEF-PI 4187, teleoconch in lateral view; I-K. Cryptaulax damboreneae Ferrari; I. MPEF-PI 4193, teleoconch in lateral view; J-K. MPEF-PI 6009; J. teleoconch in lateral view; K. ornament detail; L-M. Procerithium (Rhabdocolpus) patagoniensis Ferrari; L. MPEF-PI 4196, fragmentary teleoconch in lateral view; M. MPEF-PI 6011, fragmentary teleoconch in lateral and basal view; N. Procerithium (Infacerithium) cf. nodosum Ferrari, MPEF-PI 6010, teleoconch in lateral view; O. Pseudomelania sp., MPEF-PI 6012, teleoconch in lateral view; P-R. Quadratirhynchia? sp., MPEF-PI 4189; P. oblique lateral view; Q. dorsal view; R. ventral view; S-T. Spiriferina? sp., MPEF-PI 6017, ventral views; U-V. Zeilleria? sp., MPEF-PI 6018, ventral views (with different lightings); W-X.Terebratula”? sp., MPEF-PI 6019, ventral and  oblique ventral views;  Y. Montlivaltia? sp., MPEF-PI 6014; Z. Cnidaria gen. et sp. indet., MPEF-PI 6015; A’-B’. Echinoidea gen. et sp. indet., MPEF-PI 4194.

 

 

4.1.3. Brachiopods and other taxa

Few but well preserved brachiopod specimens recovered at La Casilda represent members of the orders Spiriferinida and Terebratulida, including the species tentatively assigned to Quadratirhynchia? sp. (Fig. 3P-R), Spiriferina? sp. (Fig. 3S-T), Zeilleria? sp. (Fig. 3U-V) and Terebratula? sp. (Fig. 3W-X). A systematic review of the Early Jurassic Chubut brachiopod faunas is currently in process and new preliminary data were recently supplied by Manceñido and Ferrari (2013).

The brachiopod species of the orders Terebratulida and Spiriferinida also represent benthic, epifaunal and semi-infaunal forms. Terebratula specimens are adhered to the substratum by the pedicle during their entire life while Spiriferinida ones are adhered only when they are young loosing their pedicles when mature and hence shells lying on the mud. They are frequently found in shallow marine environments.

 Solitary cnidarians doubtfully assigned to Montlivaltia? sp. (Fig. 3Y) and undetermined cnidarians (Fig. 3Z) are also present. Several echinoid spines were recovered at the marine deposits of La Casilda (Fig. 3A’-B’).

4.2. Paleobiogeographical considerations

The bivalve, gastropod and brachiopod fauna represented at La Casilda is similar to that of coeval    marine assemblages known from the Neuquén Basin and other regions of the world. According to Damborenea (2002a), the genera Kolymonectes and Agerchlamys show a bipolar distribution, restricted to high latitudes and present in both hemispheres but absent from low latitudes. In the Jurassic of Argentina, species of Kolymonectes are distributed from southern Mendoza Province to the Piedra Pintada region at southern Neuquén, having their southernmost occurrence at the Chubut Province (Damborenea, 2002b; Pagani et al., 2011). Species of Agerchlamys are also found in the Andean region of Argentina, at the late Pliensbachian (Fanninoceras Zone) of Mendoza and Neuquén provinces, and some specimens have been recovered at the Chubut Basin in the Pampa de Agnia area (Damborenea, 2002b). Particularly, Agerchlamys wunschae (Marwick) occurs in the Pliensbachian of New Zealand (Damborenea, 2002b). On the other hand, the genus Weyla is mainly a trans-temperate genus, commonly found along the margins of the Paleo-Pacific Ocean, both in low and medium paleolatitudes (Damborenea, 2002a). Weyla (W.) alata angutecostata has a wide geographical range in the South American Andes, from Perú and Chile (Aberhan, 1992, 1993) to the Neuquén Basin, reaching its southernmost occurrence at the Chubut Province (Damborenea and Manceñido, 1979;   Feruglio, 1934; Wahnish, 1942). Representatives of Freguelliella and Pseudolimea show a cosmopolitan distribution (Damborenea, 2011).

The Procerithiidae fauna recovered at La Casilda is well known in the Early Jurassic of the Neuquén Basin, and also shows a cosmopolitan distribution.  It has been reported in coeval marine sediments from the western Tethys (Kaim, 2004), reaching their southernmost occurrence at Antarctica (Edwards, 1980; Thompson and Turner, 1986) and New Zealand (Bandel et al., 2000). In addition, the late Triassic marine communities at the Pucará Group in central Perú yield representatives of the family Procerithiidae (Haas, 1953). The genera Cyptaulax and Procerithium are common along the Andean region of South America, from the Late Triassic of Perú (Haas, 1953), to the Early Jurassic of Chile (Gründel, 2001) and Argentina (Ferrari, 2009, 2012). The genus Lithotrochus is endemic of the Andean region of South America for a short time range in the Early Jurassic, from the early Sinemurian to the late Pliensbachian (Damborenea and Ferrari, 2008). The genus is found in Perú (Romero et al., 1995) and Chile (Hillebrandt, 1980; Aberhan, 1992, 1993; Gründel, 2001), reaching its southernmost occurrence in Argentina, from the Neuquén Basin to the Chubut Province.

The brachiopods found at the Chubut Province also shows paleobiogeographical connections with the faunas reported in coeval marine deposits of the Neuquén Basin, such as the representatives of Spiriferinida (Manceñido, 1981; Manceñido and Ferrari, 2013). Zeilleria has also been reported by Manceñido (1990) from the Early Jurassic of Mendoza and Neuquén provinces.

A preliminary paleobiogeographical interpretation of the marine invertebrate fauna found at the Chubut Province may be suggestive of the existence of a shallow marine connection between the Western Tethys and the eastern Pacific as early as Hettangian times, related to the opening of a Mid-Atlantic seaway: The Hispanic Corridor (Damborenea and Manceñido, 1979; Damborenea et al., 2012; Ferrari, 2014a). Based on the genus Weyla, Damborenea and Manceñido (1979) proposed the hypothesis of the Hispanic Corridor as the main dispersion seaway for biotic exchange between these areas during the Early Jurassic. Vicente (2005) summarized the evolution of the Jurassic Andean retroarc basin at a global scale for the Central Andes, checking the time of the marine transgressions along the Andean region of South America and distinguishing two main gulfs through the arc from which waters flowed simultaneously northwards and southwards in a narrow retroarc furrow; one of these gulfs was located at 35º S namely the Curepto Pacific Gulf (Fig. 4A). According to Vicente (2005), the Curepto Gulf was established as a Pacific connection of the Neuquén Basin as earliest as Hettangian times, and at the beginning of the early Pliensbachian, the marine transgression began to spread longitudinally towards the north and south. Finally, during the late early Pliensbachian to the early Toarcian times, the Curepto Gulf reached the central Chubut Basin (Fig. 4A). Thus, the shallow marine connection between the Neuquén and Chubut basins during the early Pliensbachian-early Toarcian throughout the Paleo-Pacific seaway (black arrows Fig. 4A) may explain the similarity on the taxonomic composition of the invertebrate biotas in both regions at that time.

 

fig.4

 

Fig. 4. A. Palaeobiogeographical map of the Andean region of South America during the Early Jurassic (early Pliensbachian-early Toarcian). Note the marine connection between the Chubut and Neuquén Basin throughout the Curepto Pacific Gulf; B. Chubut Basin section showing the preliminary temporal reconstruction of the marine transgression during the early Pliensbachian-early Toarcian; C. Stratigraphical sections of the main Early Jurassic marine localities at the Chubut Basin.

 

 

5. Biodiversity analysis and evolutionary interpretation of the Chubut Basin

The Early Jurassic was a time of widespread, extended marine transgression, which is also represented in the Chubut Basin by several invertebrate communities. One of these associations is reported here from La Casilda locality. Another five marine assemblages were previously recovered in the Chubut Province and include Lomas Occidentales locality (Wahnish, 1942; Lesta et al., 1980), which is situated to the west of the old telegraphic station of Nueva Lubecka in southwestern Chubut Province (Fig. 4B. A). Cerro La Trampa locality (Wahnish, 1942), is situated 15 km east of Lomas Occidentales (Fig. 4B. B). Further east of the Cerro La Trampa locality, the marine sequences are also exposed at Aguada Loca locality (Wahnish, 1942) (Fig. 4B. C). Lomas de Betancourt (Cortiñas, 1984) (Fig. 4B. D) is located 4 km north of Aguada Loca; the presence of Canavaria cf. naxensis (Gemmellaro) at Lomas de Betancourt, indicates a latest Pliensbachian age (Fanninoceras disciforme Zone, see local zonation of Riccardi, 2008) for this association. The marine sequences at Lomas Occidentales, Cerro La Trampa, Aguada Loca and Lomas de Betancourt belong to the Mulanguiñeu Formation. Finally, the north-eastern Early Jurassic marine sediments crop out in the Pampa de Agnia region at Puesto Currumil locality (Ferrari, 2009; Pagani et al., 2011) (Fig. 4B. F), which belong to the Osta Arena Formation. The presence of  Dactylioceras (Orthodactylites) hoelderi Hillebrandt and Schmidt-Effing (Dactylioceras hoelderi Zone; Riccardi, 2008; Riccardi et al., 2011) at Puesto Currumil locality indicates an early Toarcian age for the Pampa de Agnia region, the youngest marine sequences reported until now in the Chubut Basin during the Early Jurassic.

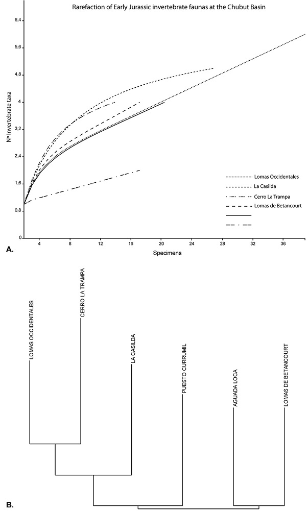
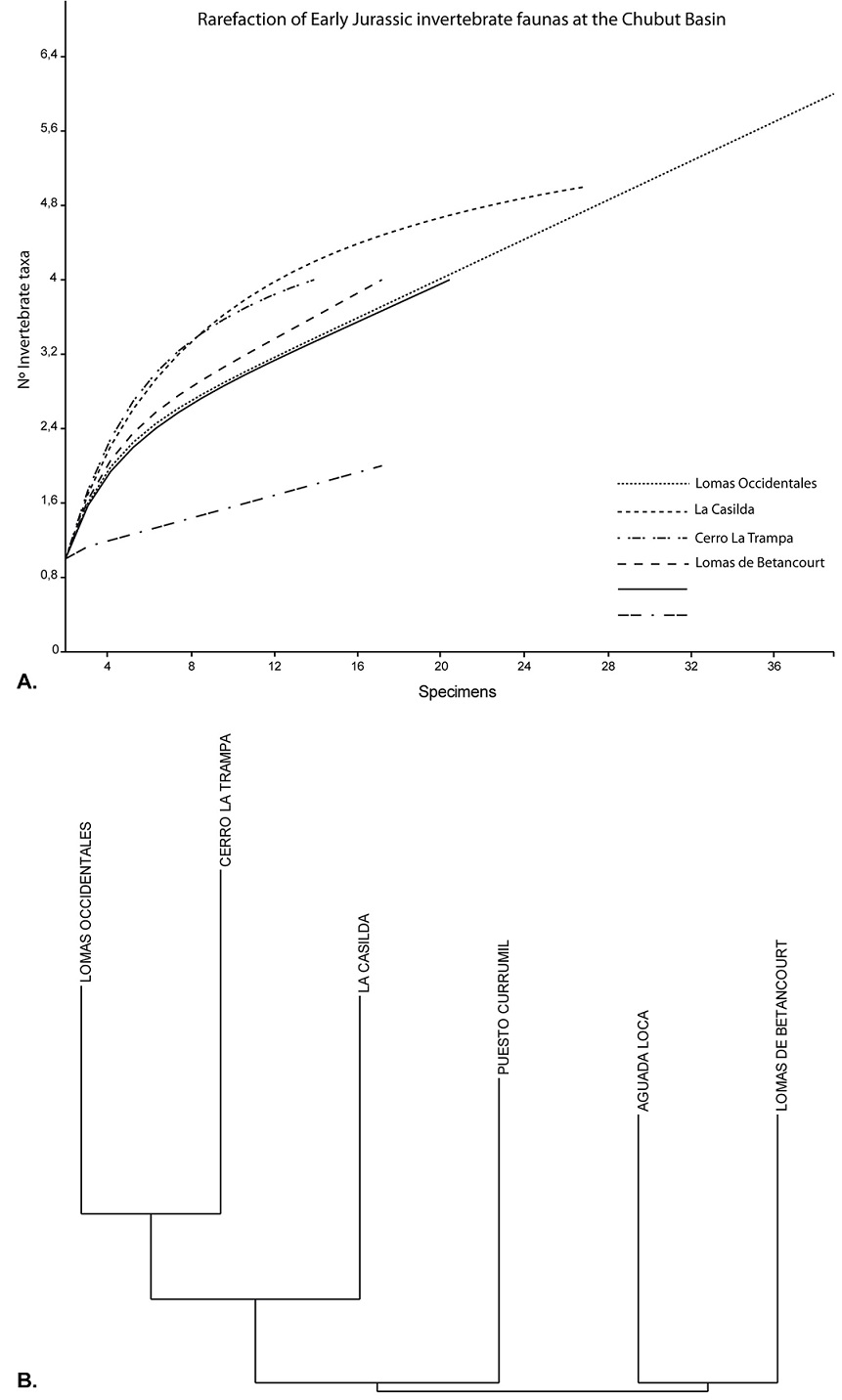
In order to assess the invertebrate biodiversity in the Chubut Basin, an analysis was performed using PAST statistical software (Hammer et al., 2001) and integrating all accessible data retrieved thus far from the five marine assemblages mentioned above plus the new material collected from La Casilda. The invertebrate data includes representatives of Bivalvia, Gastropoda, Brachiopoda, Echinodermata, Cephalopoda, Cnidaria and Crustacea. The biodiversity analysis calculated Simpson, Shannon and Margalef indices for the included samples. Simpson and Shannon indices provide an estimate of the variation in abundance among species within an assemblage; Margalef index estimates the biodiversity of a community based on the numerical distribution of individuals of different taxa. The primary results of the analysis show that the invertebrate faunal associations from Lomas Occidentales, Cerro La Trampa and La Casilda localities display the highest diversity in the Chubut Basin (Table 1). However, these data are preliminary, and further collection effort is to be undertaken in order to obtain a more complete data set from the marine localities of the study area. This is also reflected in the rarefaction analysis (Fig. 5A), which has been calculated for the six sampled localities. Rarefaction curves indicate the taxonomic richness in a function of the collection effort. The results of the analysis show that the Chubut localities are far from saturation regarding invertebrate sampling, being Lomas Occidentales and La Casilda the most riches localities (Fig. 5A). Finally, a neighbor joining clustering was performed integrating 92 marine invertebrate taxa (Table 2) reported at Lomas Occidentales, Cerro La Trampa, La Casilda, Aguada Loca, Lomas de Betancourt and Puesto Currumil. Four different sets of sampled localities are clearly discernible from this analysis. These are: 1) Lomas Occidentales next to Cerro La Trampa; 2) Lomas de Betancourt next to Aguada Loca; 3) La Casilda next to Lomas Occidentales-Cerro La Trampa; and 4) Puesto Currumil distant from the other three clusters (Fig. 5B). The good clustering of La Casilda together with Lomas Occidentales-Cerro La Trampa relies on the similar taxonomic composition of these marine assemblages, and this similarity coincides with the results of the biodiversity analysis (Table 1).

 

fig.5

 

Fig. 5. A. Rarefaction analysis of the Early Jurassic invertebrate faunas at the Chubut Basin; B. Neighbor joining clustering, Simpson similarity measures with root final branch algorithm. Note good clustering of La Casilda locality next to Cerro La Trampa and Lomas Occidentales.

 

 

In order to compare La Casilda invertebrate association with other coeval marine communities of the Andean region of South America, the model of Aberhan (1993) was followed. Aberhan (1993) reconstructed the distribution of facies and benthic faunas in segments from the marine Early Jurassic Andean Basin of northern Chile based on sedimentological, taphonomic and paleoecological evidene. The author reconstructed the depositional system as a homoclinal ramp reflecting the distribution of several environmental factors (water energy, input of terrigenous material, carbonate production, oxygen supply) and distinguished four depositional facies where benthic faunas could clearly be assigned: 1) shallow siliciclastic ramp; 2) mixed siliciclastic-carbonate ramp; 3) middle carbonate ramp; and 4) deep carbonate ramp. The Early Jurassic marine association here described from La Casilda may be tentatively assigned to the mixed siliciclastic-carbonate ramp biofacies following Aberhan’s (1993) model. The biofacies at the mixed siliciclastic-carbonate ramp represent marine associations from the upper Pliensbachian and Toarcian strata, which exhibits a relatively broad spectrum of life habits, a high diversity and its constituent samples possessing a high faunal density. The dominant organisms of the mixed siliciclastic-carbonate ramp are bivalves, represented by different guild and morphotypes, including shallow infaunal suspension-feeders, free-lying epifaunal suspension-feeders and cemented epifaunal suspension-feeders. The invertebrate taxonomic composition is characterized by the presence of Weyla, Entolium, Gryphea, Pinna, Pholadomya, Terebratula, Quadratirhynchia and Montlivaltia, between others (Aberhan, 1993, p. 115, fig. 7). Most of these taxa also occur at La Casilda locality (Table 2). Table 2 provides the summarized information of the marine invertebrate biotas represented at the Early Jurassic of the Chubut Basin; note that La Casilda locality is highlighted.

The evolution of the marine transgression in the Chubut Basin during the Early Jurassic was interpreted by Vicente (2005) based on the ammonite fauna. The author suggested the existence of a late early Pliensbachian-early Toarcian transgression in the Chubut Province and accepted a marine connection between Neuquén and Chubut during the Toarcian; the author considered a northern origin of the Chubut transgression. The hypothesis of Vicente (2005) is also interpreted here in a time scale. The Paleo-Pacific marine embayment seems to have initiated early in the Pliensbachian at the Cerro Cuche locality (Massaferro, 2001) in the north-western region of the Chubut Province. Massaferro (2001) reported the occurrence of Polymorphites sp. (assigned to the Eoamalitheus meridianus Zone, Hillebrandt, 1987; Riccardi et al., 2011) at the Sierra de Tecka region. The marine embayment widespread toward the south-western region of the Chubut Province at the Río Genoa valley during the latest Pliensbachian, which is indicated by the presence of Canavaria cf. naxensis (Gemmellaro) (Fanninoceras disciforme Zone; Riccardi, 2008; Riccardi et al., 2011) at Lomas de Betancourt locality. After the latest Pliensbachian crisis, the marine transgression reached the central Chubut Province at the Pampa de Agnia region during the early Toarcian; this is interpreted by the occurrence of Dactylioceras (Orthodactylites) hoelderi Hillebrandt and Schmidt-Effing (Dactylioceras hoelderi Zone; Riccardi, 2008; Riccardi et al., 2011) at Puesto Currumil locality.

6. Concluding Remarks

The new data here reported from La Casilda fossil locality supply new evidence on Early Jurassic marine deposits in the Chubut Basin, and contribute toward increasing and updating the paleontological knowledge of Jurassic marine invertebrate biotas in Patagonia.

The summarized taxonomic information obtained from the six localities sampled at the Chubut Basin displayed that La Casilda is one of the most diverse associations together with Lomas Occidentales and Cerro La Trampa. Moreover, La Casilda could tentative be assigned to the coeval biofacies at the mixed siliciclastic-carbonate ramp following Aberhan’s (1993) model for the marine Early Jurassic Andean Basin of northern Chile.

The evolution of the marine transgression during the Early Jurassic is also interpreted here in a time scale based on ammonites and it seems to have had its origin during the early Pliensbachian in northern Chubut Basin reaching the central Chubut Province in the early Toarcian. However, this interpretation is preliminary and needs more accurate systematic data (especially those provided by ammonites) and the investigation of new fossiliferous localities at the study area.

The recovery of new invertebrate collections in the Early Jurassic of the Chubut Basin provides new systematic data which may greatly assist in studies focused on the systematic, paleoecological and paleobiogeographical knowledge of the whole invertebrate biota in Patagonia. Particularly, the recognition of new ammonite, bivalve and brachiopod material will help to correlate the marine sequences at the Chubut Basin with coeval deposits of the Neuquén Basin, based on the available biostratigraphic schemes proposed by Manceñido (1981, 1983, 1990, 2002, 2010), Manceñido and Damborenea (1990), Damborenea and Manceñido (1992), Manceñido and Dagys (1992), Baker and Manceñido (1997) Riccardi (2008) and Riccardi et al. (1994, 2011).

This approach provides a preliminary reconstruction of the entire Early Jurassic marine Chubut Basin, very poorly known until now and one of the southernmost records of the Jurassic in Gondwana.

Acknowledgements
This study was supported by CONICYT, Chile, through Fondecyt 1110093 grant to V. Maksaev and F. Munizaga (Universidad de Chile). We thank the analytic work of F. Barra of the Isotope Geochemistry laboratory of the Andean Geothermal Center of Excellence, Department of Geology of the Universidad de Chile and K. Sato of the Geochronological Research Center (Centro de Pesquisas Geocronológicas) of the Universidade de Sao Paulo, Brazil. Part of the data of this paper constituted the Bachelor´s Thesis of J. Arancibia. A review by Dr. J. Álvarez contributed to improve this paper.

References

Aberhan, M. 1992. Palöokologie und zeitliche Verbreitung benthischer Faunengemeinschaften im Unterjura von Chile. Beringeria 5: 1-174.

 

Aberhan, M. 1993. Benthic macroinvertebrate associations on a carbonate-clastic ramp in segments of the Early Jurassic backarc basin of northern Chile (26-29ºS). Revista Geológica de Chile 20 (2): 105-136. doi: 10.5027/andgeoV20n2-a01.

 

Bandel, K.; Gründel, J.; Maxwell, P. 2000. Gastropods from the upper Early Jurassic/early Middle Jurassic of Kaiwara Valley, North Canterbury, New Zealand. Freiberger Forschungshefte C 490: 67-132.

 

Baker, P.G.; Manceñido, M.O. 1997. The morphology and shell microstructure of the thecideidine brachiopod Ancorellina ageri from the Lower Jurassic of Argentina. Palaeontology 40 (1): 191-200.

 

Blasco, G.; Levy, R.; Ploszkiewicz, V. 1980. Las calizas toarcianas de Loncopán, Departamento Tehuelches, Provincia del Chubut, República Argentina. In Congreso Argentino de Paleontología y Bioestratigrafía, No. 2, Actas: 191-200. Buenos Aires.

 

Cortiñas, J.S. 1984. Estratigrafía y facies del Jurásico entre Nueva Lubecka, Ferrarotti y Cerro Colorado. Su relación con los depósitos coetáneos del Chubut central. In Congreso Geológico Argentino, No. 9, Actas 2: 283-299.

 

Damborenea, S.E. 1987. Early Jurassic Bivalvia of Argentina Part 2: Superfamilies Pteriacea, Buchiacea and part of Pectinacea. Palaeontographica 199: 113-216.

 

Damborenea, S.E. 2002a. Jurassic evolution of Southern Hemisphere marine palaeobiogeographic units based on benthic bivalves. Geobios 35: 51-71.

 

Damborenea, S.E. 2002b. Early Jurassic bivalves of Argentina Part 3: Superfamilies Monotoidea, Pectinoidea, Plicatuloidea and Dimyoidea. Palaeontographica 265: 1-119.

 

Damborenea, S.E. 2011. Paleobiogeografía de Bivalvos Marinos Jurásicos. Anales de la Academia Nacional de Ciencias de Buenos Aires: 1-24.

 

Damborenea, S.E.; Manceñido, M.O. 1979. On the paleogeographical distribution of the pectinid genus Weyla (Bivalvia, Lower Jurassic). Palaeogeography Palaeoclimatology, Palaeoecology 27: 85-102.

 

Damborenea, S.E.; Echevarría, J.; Ross, S. 2012. Southern hemisphere palaeobiogeography of Triassic-Jurassic marine bivalves. Dordrecht: Springer. Springer Briefs in Earth System Sciences: 1-135.

 

Damborenea, S.E.; Manceñido, M.O. 1992. A comparison of Jurassic marine benthonic faunas from South America and New Zealand. Journal of the Royal Society of New Zealand 22 (2): 131-152.

 

Damborenea, S.E.; Ferrari, S.M. 2008. El género Lithotrochus Conrad (Gastropoda, Vetigastropoda) en el Jurásico temprano de Argentina. Ameghiniana 45: 197-209.

 

Edwards, C.W. 1980. Early Mesozoic marine fossils from central Alexander Island. British Antarctic Survey Bulletin 49: 33-58.

 

Fernández Garrasino, C. 1977. Contribución al conocimiento geológico de la zona comprendida entre Estancia Ferraroti, Cerro Colorado y Cerrito Negro, Departamento Tehuelches, Provincia del Chubut. Revista de la Asociación Geológica Argentina 32 (2): 130-144.

 

Ferrari, S.M. 2009. Cosmopolitan Early Jurassic marine gastropods from west-central Patagonia, Argentina. Acta Palaeontologica Polonica 54 (3): 449-461.

 

Ferrari, S.M. 2011a. Early Jurassic Ataphridae (Mollusca: Gastropoda) from Chubut, Argentina: paleogeographic and paleoecologic implications. Ameghiniana 48 (1): 63-77.

 

Ferrari, S.M. 2011b. Gastrópodos marinos del Jurásico temprano de Chubut: revisión sistemática e implicancias paleoecológicas y paleobiogeográficas. Ph.D Thesis (Unpublished), Universidad Nacional de La Plata: 333 p. La Plata.

 

Ferrari, S.M. 2012. The genera Cryptaulax and Procerithium (Procerithiidae, Caenogastropoda) in the Early Jurassic of Patagonia, Argentina. Alcheringa 36 (3): 323-336.

 

Ferrari, S.M. 2013. New Early Jurassic gastropods from west-central Patagonia, Argentina. Acta Palaeontologica Polonica 58 (3): 579-593.

 

Ferrari, S.M. 2014a. Patellogastropoda and Vetigastropoda (Mollusca, Gastropoda) from the marine Jurassic of Patagonia, Argentina. Historical Biology 26 (5): 563-581.

 

Ferrari, S.M. 2014b. Early Jurassic marine gastropods from Argentina: a palaeobiogeographical analysis based on Vetigastropoda. Journal of Systematic Palaeontology. doi: 10.1080/14772019.2014.967319.

 

Ferrari, S.M.; Kaim, A.; Damborenea, S.E. 2014. The genera Calliotropis Seguenza and Ambercyclus n. gen. (Vetigastropoda, Eucyclidea) from the Early Jurassic of Argentina. Journal of Paleontology 88 (6): 1174-1188.

 

Feruglio, E. 1934. Fossili Liassici della Valle del Rio Genua (Patagonia). Giornale di Geologia, Annali del R. Museo Geologico di Bologna 9: 1-64.

 

Feruglio, E. 1949. Descripción Geológica de la Patagonia. Yacimientos Petrolíferos Fiscales 1: 334 p. Buenos Aires.

 

Giacosa, R.E.; Márquez, M.J. 1999. Jurásico y Cretácico de la Cordillera Patagónica septentrional y Precordillera Patagónica. In Geología Argentina (Caminos, R.; editor), Anales del Servicio Geológico Minero Argentino 29: 444-459. Buenos Aires.

 

Gründel, J. 2001. Gastropoden aus dem Jura der südamerikanischen Anden. Paläontologie, Stratigraphie, Fazies 9. Freiberger Forschungshefte C 492: 43-84.

 

Haas, O. 1953. Mesozoic Invertebrate Faunas of Peru: Bulletin of the American Museum of Natural History: 321 p. New York.

 

Hammer, Ø.; Harper, D.A.T.; Ryan, P.D. 2001. PAST: Paleontological Statistics Software Package for Education and Data Analysis. Palaeontologia Electronica 4: 1-9.

 

Hillebrandt, A. von. 1980. Paleozoogeografía de Jurásico marino (Lías hasta Oxfordiano) en Suramérica. Deutsche Forsch. And Instituto de Colaboración Científica: 123-134.

 

Hillebrandt, A. von. 1987. Liassic ammonites zones of South America and correlations with other provinces. With descriptions of new genera and species of ammonites. Bioestratigrafía y Sistemas Regionales del Jurásico y Cretácico. Cuencas Sedimentarias del Jurásico y Cretácico de América del Sur 2: 111-129.

 

Kaim, A. 2004. The evolution of conch ontogeny in Mesozoic open sea gastropods. Palaeontologia Polonica 62: 3-183.

 

Keidel, J. 1917. Ueber das patagonische Tafelland. Das patagonische Geröll und ihre Beziehungenzu den geologischen Erscheinungen im Argentinischen Andengebiet und Litoral. Zeitschrift des Deutschen Wissenschaftlichen Verein 3(5-6): 219-245.

 

Lesta, P.; Ferello, R.; Chebli, G. 1980. Chubut Extraandino. In Segundo Simposio de Geología Regional Argentina (Turner, J.; editor). Academia Nacional de Ciencias: 1307-1387. Córdoba.

 

Manceñido, M.O. 1981. A revision of Early Jurassic Spiriferinidae (Brachiopoda, Spiriferida) from Argentina. In Cuencas Sedimentarias del Jurásico y Cretácico de América del Sur (Volkheimer, W.; Musacchio, E.; editors). Comité Sudamericano del Jurásico y Cretácico 2: 625-659. Buenos Aires.

 

Manceñido, M.O. 1983. A new terebratulid genus from Western Argentina and its homoeomorphs (Brachiopoda, Early Jurassic). Ameghiniana 20 (4): 347-365.

 

Manceñido, M.O. 1990. The succesion of Early Jurassic brachiopod fauna from Argentina: Correlations and affinities. In Brachiopods through time (Lee and Campbell; editors). 397-404. MacKinnon, Rotterdam.

 

Manceñido, M.O. 2002. Paleobiogeography of Mesozoic brachiopod faunas from Andean-Patagonian areas in a global context. Geobios 35 (17): 176-192.

 

Manceñido, M.O. 2010. Braquiópodos micromórficos coralófilos de la Formación Piedra Pintada (Jurásico inferior, Neuquén, Argentina): una visión actualizada. In Congreso Argentino de Paleontología y Bioestratigrafía, No. 10 y Congreso Latinoamericano de Paleontología, No. 7, Resúmenes: 181-182. La Plata.

 

Manceñido, M.O.; Damborenea, S.E. 1990. Corallophilous micromorphic brachiopods from the Lower Jurassic of West Central Argentina. In Brachiopods through Time (MacKinnon, D.I.; Lee, D.E.; Campbell, J.D.; editors). Proceedings International Brachiopod Congress, No. 2 (Dunedin): 89-96. Rotterdam.

 

Manceñido, M.O.; Dagys, A.S. 1992. Brachiopods of the circum-Pacific. In The Jurassic of the Circum Pacific (Westermann, G.E.G.; editor). Cambridge Univerity Press, World and Regional Series 3, Part V, Chapter 22: 328-333, Pl. 109-114. Cambridge.

 

Manceñido, M.O.; Ferrari, S.M. 2013. Early Jurassic brachiopods from the Chubut Province (Argentina): a preliminary report. In Simposio Argentino Jurásico, No. 5 (SAJ) (4): p. 46. Trelew.

 

Massaferro, G.I. 2001. El Jurásico temprano del Cerro Cuche (Cordillera Patagónica del Chubut): estratigrafía y fósiles. Revista de la Asociación Geológica Argentina 56 (2): 244-248.

 

Musacchio, E.A.; Riccardi, A.C. 1971. Estratigrafía, principalmente del Jurásico en la Sierra de Agnia, Chubut, República Argentina. Revista de la Asociación Geológica Argentina 29: 272-273.

 

Pagani, A.; Damborenea, S.; Manceñido, M.; Ferrari, M. 2011. A new early Jurassic decapod crustacean from Patagonia (Chubut province), Argentina. Paläontologische Zeitschrift 85 (2): 143-154.

 

Pagani, M.A.; Manceñido, M.O.; Damborenea, S.E.; Ferrari, S.M. 2012. The ichnogenus Lapispira from the Early Jurassic of Patagonia (Chubut, Argentina). Revue de Paléobiologie 11: 409-416. Genève.

 

Piatnitzky, A. 1936. Estudio geológico de la región de los Ríos Chubut y Genua. Boletín de Informaciones Petroleras 13: 83-118.

 

Riccardi, A.C. 1983. The Jurassic of Argentina and Chile. In The Phanerozoic Geology of the World II (Moullade, M.; Nairn, A.E.M.; editors). The Mesozoic B, Elsevier: 201-263. Amsterdam.

 

Riccardi, A.C. 2008. The marine Jurassic of Argentina: a biostratigraphic Framework. Episodes 31 (3): 326-335.

 

Riccardi, A.C.; Damborenea, S.E.; Manceñido, M.O.; Ballent, S.C. 1994: Middle Jurassic biostratigraphy of Argentina. Geobios 17 (1): 423-430.

 

Riccardi, A.C.; Damborenea, S.E.; Manceñido, M.O.; Leanza, H.A. 2011. Megainverterados del Jurásico y su importancia Geobiológica. In Relatorio del Congreso Geológico Argentino, No. 18. Neuquén.

 

Romero, P.L.; Aldana, A.M.; Rangel, Z.C.; Villavicencio, R.E.; Ramírez, A.J. 1995. Fauna y flora fósil del Perú. Instituto Geológico Minero y Metalúrgico (Perú), Serie D: Estudios Especiales. Boletín 17: 331 p.

 

Roth, S. 1908. Beträge z. Gliederung der Sedimentablagerungen in Patagonia u. der Pampas region. Neues Jahrbuch für Mineralogie, Geologie und Paläontologie, Beilageband: 26 p. Stuttgart.

 

Suero, T. 1952. Las sucesiones sedimentarias suprapaleozoicas de la zona extraandina del Chubut (Patagonia austral-República Argentina). In International Geological Congress, No. 19: 373-384.

 

Suero, T. 1953. Las sucesiones suprapaleozoicas de la zona extraandina del Chubut. Revista de la Asociación Geológica Argentina 8 (1): 37-53.

 

Suero, T. 1958. Datos geológicos sobre el Paleozoico superior en la zona de Nueva Lubecka y alrededores (Chubut extraandino, provincia de Chubut). Revista del Museo de La Plata, Geología 5: 1-28.

 

Thompson, M.R.A.; Turner, T.H. 1986. Early Jurassic fossils from Central Alexander Island and their geological setting. British Antarctic Survey, Bulletin 70: 23-39.

 

Vicente, J.C. 2005. Dynamic paleogeography of the Jurassic Andean Basin: pattern of transgression and localization of main straits through the magmatic arc. Revista de la Asociación Geológica Argentina 60 (1): 221-250.

 

Wahnish, E. 1942. Observaciones geológicas en el Oeste del Chubut. Estratigrafía y fauna del Liásico en los alrededores del río Genua. Boletín del Servicio Geológico Nacional 51: 1-73.